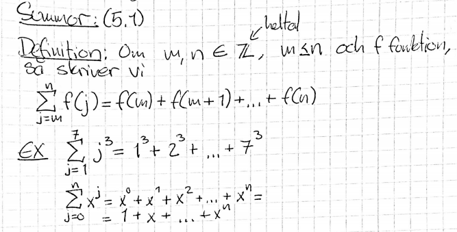
Vad är definitionen av summa?

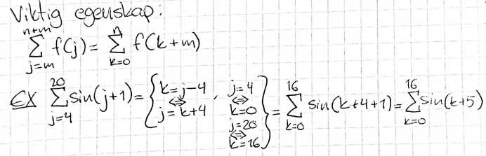
Vilken viktig egenskap har summa för att börja från noll?

Vad är summan av


Vad är summan av


Vad är summan av


Vad är summan av


Vad är definitionen av en partition?

Hur definieras över- och undersumma?

Hur definieras integral?

Hur vet man om en funktion är integrerbar?

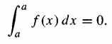
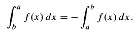
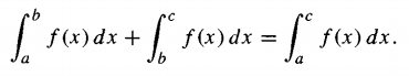
Integralegenskap


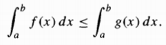
Integralegenskap


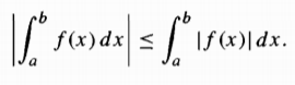
Integralegenskap


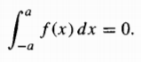
Integralegenskap


Integralegenskap


Integralegenskap


Integralegenskap


Integralegenskap


Hur lyder integralkalkylens medelvärdessats?

Hur lyder analysens fundamentalsats?

Vad är definitionen av en primitiv funktion?

Hur lyder insättningsformeln?

Vad är


Vad är

