What is the equation for sensitivity?

What is the equation for specificity?

What is the equation for positive predictive value (PPV)?

What is the equation for negative predictive value (NPV)?

What is the equation for relative risk (RR)?

What is the equation for attributable risk?

What is the equation for number neaded to treat (NNT)?
Image

What is the equation for number needed to harm (NNH)?

What is the equation for Hardy-Weinberg equilibrium?

What is the Henderson-Hasselbach equation?

What is the equation for the volume of distribution (Vd)?

What is the equation for clearance (CL)?

What is the equation for half-life (t 1/2)

What is the equation for loading dose (LD)?

What is the equation for maintenance dose (MD)?

What are the equations for cardiac output (CO)?

What are the equations for mean arterial pressure (MAP)?

What is the equation for stroke volume (SV)?

What is the equation for ejection fraction (EF)?

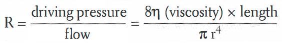
What is the equation for resistance (R)?

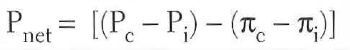
What is the equation for net filtration pressure (Pnet)?

What are the equations for golmerular filtration rate (GFR)?

What is the equation for renal blood flow (RBF)?

What is the equation for effective renal plasma flow (ERPF)?
