Equations Flashcards

(79 cards)

1
Q

Find: Nominal Risk-Free Rate
Given: Risk-Free Rate + Inflation

A

(1 + nominal risk-free rate) = (1 + real risk-free rate)(1 + inflation premium).

How well did you know this?
1
Not at all
2
3
4
5
Perfectly
2
Q

Find: Yield
Given:
(1) Real Risk-Free Rate
(2) Inflation Premium
(3) Default Risk
(4) Liquidity Premium
(5) Maturity Premium

A

r = Real risk-free interest rate + Inflation premium + Default risk premium + Liquidity premium + Maturity premium.

How well did you know this?
1
Not at all
2
3
4
5
Perfectly
3
Q

Find: Holding Period Return (1 Period)
Given: Price of Asset at T = 0; T = 1; Dividends

A

The return earned from holding an asset for a single specified period of time. The period may be one day, one week, one month, five years, or any specified period.

How well did you know this?
1
Not at all
2
3
4
5
Perfectly
4
Q

Find: Holding Period Return (Multiple Periods)

A
How well did you know this?
1
Not at all
2
3
4
5
Perfectly
5
Q

Find: Arithmetic Return

A

The simplest way to compute a summary measure for returns across multiple periods is to take a simple arithmetic average of the holding period returns.

How well did you know this?
1
Not at all
2
3
4
5
Perfectly
6
Q

Find: Geometric Mean Return

A

A geometric mean return provides a more accurate representation of the growth in portfolio value over a given time period than the arithmetic mean return

How well did you know this?
1
Not at all
2
3
4
5
Perfectly
7
Q

Find: Money-Weighted Return

A

The money-weighted return accounts for the money invested and provides the investor with information on the actual return she earns on her investment.

How well did you know this?
1
Not at all
2
3
4
5
Perfectly
8
Q

Find: Time-Weighted Return

A

The time-weighted rate of return measures the compound rate of growth of USD1 initially invested in the portfolio over a stated measurement period.

How well did you know this?
1
Not at all
2
3
4
5
Perfectly
9
Q

Find: Annualized Returns
Given: Rate R for Period C

A

To annualize any return for a period shorter than one year, the return for the period must be compounded by the number of periods in a year.

How well did you know this?
1
Not at all
2
3
4
5
Perfectly
10
Q

Find: Continuously Compounded Return from T to T + 1
Given: P(t = 0) ; P(t = 1)

A
How well did you know this?
1
Not at all
2
3
4
5
Perfectly
11
Q

Find: Real Return
Given:
(1) Real Risk-Free Rate
(2) Risk Premium
(3) Inflation Premium

A
How well did you know this?
1
Not at all
2
3
4
5
Perfectly
12
Q

Find: Nominal Risk Free Rate
Given:
(1) Real Risk-Free Rate
(2) Inflation Premium

A
How well did you know this?
1
Not at all
2
3
4
5
Perfectly
13
Q

Find: Leveraged Return
Given:
(1) Portfolio Return
(2) Portfolio Equity

A

RP = Portfolio
VB = Borrowings of portfolio
VE = Equity of portfolio
rD = Cost of Debt

How well did you know this?
1
Not at all
2
3
4
5
Perfectly
14
Q

Find: Future Value (Continuously Compounded Interest)
Given:
(1) Present Value (PV)
(2) Rate ‘R’
(3) Time ‘T’

A
How well did you know this?
1
Not at all
2
3
4
5
Perfectly
15
Q

Find: Present Value of Stock @ T
Given:
(1) Dividend @ T
(2) Growth rate ‘g’
(3) Discount ‘r’

A
How well did you know this?
1
Not at all
2
3
4
5
Perfectly
16
Q

Find: MAD
Given:
Dataset

A
How well did you know this?
1
Not at all
2
3
4
5
Perfectly
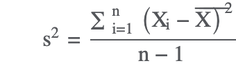
17
Q

Sample Variance Formula

A
How well did you know this?
1
Not at all
2
3
4
5
Perfectly
18
Q

Sample Standard Deviation

A
How well did you know this?
1
Not at all
2
3
4
5
Perfectly
19
Q

Coefficient of Variation

A
How well did you know this?
1
Not at all
2
3
4
5
Perfectly
20
Q

Bayes’ Formula

A
How well did you know this?
1
Not at all
2
3
4
5
Perfectly
21
Q

Find: Correlation
Given:
Covariance; Stdevs

A
How well did you know this?
1
Not at all
2
3
4
5
Perfectly
22
Q

Safety First Ratio

A

The quantity E(RP) − RL is the distance from the mean return to the shortfall level. Dividing this distance by σP gives the distance in units of standard deviation.

How well did you know this?
1
Not at all
2
3
4
5
Perfectly
23
Q

Roy’s safety-first criterion

A

states that the optimal portfolio minimizes the probability that portfolio return, RP, will fall below the threshold level, RL.

How well did you know this?
1
Not at all
2
3
4
5
Perfectly
24
Q

Covariance

A

Covariance indicates the direction of the linear relationship between variables

How well did you know this?
1
Not at all
2
3
4
5
Perfectly
25
Correlation
Correlation measures both the strength and direction of the linear relationship between two variables
26
Correlation to Covariance
27
Covariance to Correlation
28
Portfolio of Two Assets: Standard Deviation
29
Utility Function of an Investment
30
GP’s rate of return (standard)
31
GP’s rate of return (catch-up clause)
32
MOIC
33
Relationship between Forward and Spot Prices
34
Herfindahl–Hirschman Index
35
N-Firm Concentration Ratio
36
Fiscal Multiplier
37
Neutral Rate
Neutral rate = Trend growth + Inflation target
38
Real Exchange Rate
39
Direct Quote
Rate = Domestic Currency / Foreign Currency A direct quote is a foreign exchange rate that shows how much domestic currency is required to buy one unit of foreign currency.
40
Indirect Quote
Rate = 1 / Direct Quote
41
Forward Rate (Full Period)
42
Forward Rate (Fractional Period)
43
Current Ratio
44
Quick Ratio
45
Cash Ratio
46
ROIC
47
WACC
48
Cost of Debt
nominal cost of debt * (1 – Tax rate)
49
MM Proposition: Cost of Equity W/o Taxes
50
MM Proposition: Cost of Equity W Taxes
51
MM Proposition: Value of a Levered Firm
52
Static Trade-Off Theory: Optimal Capital Structure
53
Leverage Ratio (Portfolio)
54
Margin Math: Initial Investment
Number of Shares x Purchase Price x Initial Margin Requirement
55
Margin Math: Loan Amount
Loan Amount = Number of Shares x Purchase Price x (1 - Margin Requirement)
56
Margin Math: Interest on Loan
Interest on Loan=Loan Amount×Call Money Rate
57
Margin Math: Commission Costs
Commission Costs=Number of Shares×Commission per Share×2
58
Margin Math: Equity @ End
Equity at End=Total Sale Proceeds+Dividend Received−Loan Amount−Interest on Loan−Commission Costs
59
Margin Math: Total Return
Total Return=Initial InvestmentEquity at End−Initial Investment​
60
Margin Math: Price @ Margin Call
61
Margin Math: maintenance margin requirement
25 percent of the current value of the position
62
Return on equity (ROE)
63
Degree of Operating Leverage
DOL = % Δ Operating Profit/% Δ Sales
64
Degree of Financial Leverage
DFL = % Δ Net income/% Δ Operating income
65
Free Cash Flow to Equity
FCFE = CFO – FCInv + Net borrowing  
66
DCF to Value Company (Using Equity)
67
Estimating a long-term growth rate
68
Current Yield
69
Yield-to-Maturity
The internal rate of return (IRR) on the bond if held until maturity, assuming all payments are made as scheduled.
70
Flat Price
The full price of a bond minus accrued interest. Flat prices are usually quoted by bond dealers.
71
bond's accrued interest
72
Full Price
PVFull = PVFlat + AI. 
73
duration gap
Duration gap = Macaulay duration – Investment horizon
74
Macaulay Duration
75
Modified Duration
76
forward points
The number of forward points equals the forward rate minus the spot rate x 10000
77
Find: Spot Rate Given: (1) Forward Points as a % (2) Forward Rate
Spot rate × (1 + Forward points as a percentage) = Forward rate
78
Annualized Holding Return
79
Forward premium
Forward Premium = Forward Rate - Spot Rate