Equations Flashcards

(60 cards)

1
Q

Conversion Price formula

A

PAR/shares

How well did you know this?
1
Not at all
2
3
4
5
Perfectly
2
Q

Conversion Value formula

A

Convertible Shares * Price of stock

How well did you know this?
1
Not at all
2
3
4
5
Perfectly
3
Q

Coefficient of Variation (CV) formula

A

standard deviation/mean expected avg return

How well did you know this?
1
Not at all
2
3
4
5
Perfectly
4
Q

Coefficient of Variation (CV) description

A
  • compares two assets with different average returns
  • higher CV = riskier
  • riskier = less likely investor will achieve average return

risk/return

How well did you know this?
1
Not at all
2
3
4
5
Perfectly
5
Q

Risk Adjusted Return description

A
  • opposite of CV

return/risk

How well did you know this?
1
Not at all
2
3
4
5
Perfectly
6
Q

Covariance (COV) description

A
  • measure 2 securities combined and their interactive risk
  • measure of related risk
How well did you know this?
1
Not at all
2
3
4
5
Perfectly
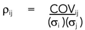
7
Q

Correlation Coefficient (p) description

A
  • ranges +1 to -1
  • risk is reduced when correlation < 1
How well did you know this?
1
Not at all
2
3
4
5
Perfectly
8
Q

Covariance (COV) formula

A

(Correlation)(Std Dev1)(Std Dev2)

How well did you know this?
1
Not at all
2
3
4
5
Perfectly
9
Q

Correlation Coefficient (p) formula

A
How well did you know this?
1
Not at all
2
3
4
5
Perfectly
10
Q

Coefficient of Determination (R-Squared) description

A
  • how much return is due to the market
How well did you know this?
1
Not at all
2
3
4
5
Perfectly
11
Q

Coefficient of Determination (R-Squared) formula

A

p^2

  • squaring correlation coefficient (p)
How well did you know this?
1
Not at all
2
3
4
5
Perfectly
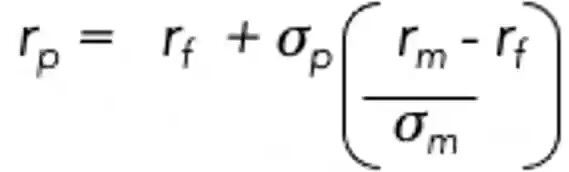
12
Q

Capital Market Line formula

A
How well did you know this?
1
Not at all
2
3
4
5
Perfectly
13
Q

Capital Asset Pricing Model (CAPM) description

A
  • single factor model
  • calculates relationship of risk and return of individual security using BETA
How well did you know this?
1
Not at all
2
3
4
5
Perfectly
14
Q

Capital Asset Pricing Model (CAPM) formula

A
How well did you know this?
1
Not at all
2
3
4
5
Perfectly
15
Q

Portfolio Risk description

A
  • measured through determination of interactivity of the standard deviation and covariance of securities in portfolio
  • utilizes weight of both securities, deviations, and correlation coefficient
How well did you know this?
1
Not at all
2
3
4
5
Perfectly
16
Q

Portfolio Risk formula

A
How well did you know this?
1
Not at all
2
3
4
5
Perfectly
17
Q

Information Ratio (IR) formula

A
How well did you know this?
1
Not at all
2
3
4
5
Perfectly
18
Q

Information Ratio (IR) description

A
  • relative measure (compare to other IR)
  • rank high to low
How well did you know this?
1
Not at all
2
3
4
5
Perfectly
19
Q

Treynor Index (Tp) formula

A
How well did you know this?
1
Not at all
2
3
4
5
Perfectly
20
Q

Treynor Index (Tp) description

A
  • uses Beta as denominator
  • relative measure (compare to other Treynor)
  • measures reward achieved to level of systematic risk
  • standardizes portfolio returns for volatility
How well did you know this?
1
Not at all
2
3
4
5
Perfectly
21
Q

Sharpe Index (Sp) formula

A
How well did you know this?
1
Not at all
2
3
4
5
Perfectly
22
Q

Sharpe Index (Sp) description

A
  • if no r^2, always use Sharpe
  • uses standard deviation as denominator
  • relative measure (compare to other Sharpe)
  • measures risk premiums of portfolio relative to total amount of risk in portfolio
How well did you know this?
1
Not at all
2
3
4
5
Perfectly
23
Q

Investor seeking to invest in single fund should select fund with highest ___ ratio

A

Sharpe Ratio

How well did you know this?
1
Not at all
2
3
4
5
Perfectly
24
Q

Arbitrage Pricing Theory (APT) description

A
  • multifactor model
  • attempts to take advantage of pricing imbalances
  • inputs include factor like inflation, then specifics including expected returns and sensitivity to the factors
  • standard deviation and beta are NOT inputs
How well did you know this?
1
Not at all
2
3
4
5
Perfectly
25
Arbitrage Pricing Theory (APT) formula
26
Holding Period Return (HPR) description
- not compounded rate of return - no consideration for time an investment was held - focused on margin returns or after tax rate of returns
27
Holding Period Return (HPR) formula for cash flows
made / paid
28
Holding Period Return (HPR) formula for rate of return
29
Effective Annual Rate (EAR) description
- calculates annual interest rate earned on investment when compounding occurs more than once a year
30
Effective Annual Rate (EAR) formula
31
Geometric Average description
- time weighted compounded rate of return
32
Geometric Average formula
33
Geometric Average calculator
34
Net Present Value (NPV) description
- present value of cash flows minus initial cost - evaluate capital expenses that will result in differing cash flows over useful life/investment period - positive = make investment
35
Net Present Value (NPV) formula
36
Internal Rate of Return (IRR) formula
- solve for IRR
37
Internal Rate of Return (IRR) description
- compounded rate of return - used with uneven cash flows - discount rate that sets NPV formula = 0
38
Price-Earnings Ratio (P/E) description
- number of dollars investor will pay for each dollar of company earnings - measure of relationship between stock price and earnings - stock price as multiple of company earnings - use when firm DOES NOT pay dividends
39
Price-Earnings Ratio (P/E) formula
Stock Price / EPS = P/E
40
Dividend Payout Ratio description
- relationship between amount of earnings paid to shareholders in form of a dividend, relative to EPS - higher ratio = more mature company - high ratio may also indicate possibility of dividend being reduced
41
Dividend Payout Ratio formula
42
Return on Equity (ROE) description
- measures overall profitability of company - direct relationship between ROE, earnings, and dividend growth
43
Return on Equity (ROE) formula
Net Income/Equity
44
Dividend Yield formula
45
Dividend Yield description
- annual dividend as percentage of stock price
46
Tax Equivalent Yield (TEY) formula
think PRE tax
47
After-Tax Yield formula
48
Unbiased Expectations Theory (UET) formula
49
Unbiased Expectations Theory (UET) description
- PV LT interest rates imbedded expectations about future ST interest rates - LT rates are geometric avg of current & expected future ST interest rates
50
Duration description
- bond's price sensitivity to changes in interest rates - higher duration = more price sensitive - moment in time investor is immunized from interest rate risk & reinvestment rate risk - weighted avg time until investor receives all coupon payments & principal
51
(inverse/direct) relationship between coupon/YTM and duration
INverse relationship between coupon/YTM (INterest rates) and duration
52
Higher duration = (more/less) volatile bond price
more volatile
53
Longer maturity = (higher/lower) the duration
higher
54
Higher the coupon = (higher/shorter) the duration
shorter
55
Higher the YTM = (higher/shorter) the duration
shorter
56
Estimating Bond Price Change Formula
57
Convertible Bonds (CV) formula
58
Convertible Bonds (CV) description
- value of convertible bond - terms of stock into which it can be converted
59
Property Valuation formula
60
Net Operating Income (NOI) formula