Interest Rate (r)
Interest Rate (r) = Real risk-free interest rate + Inflation premium + Default risk premium + Liquidity premium + Maturity premium
Future value
where r is the stated interest rate per period and N is the number of compounding periods

Non-Annual Compounding (Future Value)
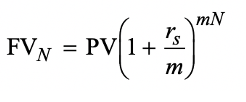
where rs is the stated annual interest rate, m is the number of compounding periods per year, and N now stands for the number of years. Note the compatibility here between the interest rate used, rs/m, and the number of compounding periods, mN. The periodic rate, rs/m, is the stated annual interest rate divided by the number of compounding periods per year. The number of compounding periods, mN, is the number of compounding periods in one year multiplied by the number of years. The periodic rate, rs/m, and the number of compounding periods, mN, must be compatible.

Future Value of a sum in N years with continuous compounding

EAR with continuous/discrete compounding

EAR with continuous compounding

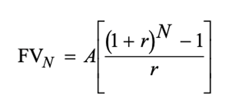
Future Value - General annuity

Present Value

Non-annual compounding (Present Value)
m = number of compounding periods per year
rs = quoted annual interest rate N = number of years

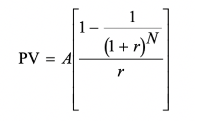
Present Value of a Series of Equal Cash Flows
A = the annuity amount r = the interest rate per period corresponding to the frequency of annuity
payments (for example, annual, quarterly, or monthly) N = the number of annuity payments

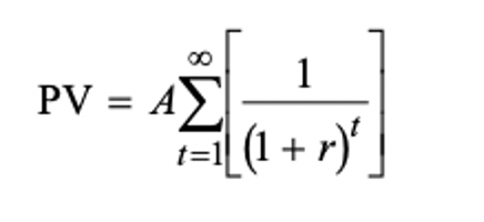
Ordinary annuity is called a perpetuity (a perpetual annuity)

Present value of a perpetuity

Interest rate can also be considered a growth rate
