Equations To Know Flashcards

(40 cards)

1
Q

Newton’s Second Law

A

F = ma

F = Force
m = mass
a = acceleration

How well did you know this?
1
Not at all
2
3
4
5
Perfectly
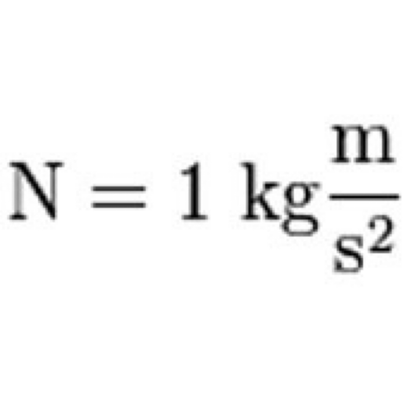
2
Q

Units for Force

A
How well did you know this?
1
Not at all
2
3
4
5
Perfectly
3
Q

Friction

A
How well did you know this?
1
Not at all
2
3
4
5
Perfectly
4
Q

Force of gravity acting perpendicular to an inclined plane

A

mgcos(theta)

How well did you know this?
1
Not at all
2
3
4
5
Perfectly
5
Q

Force of gravity acting parallel to an inclined plane

A

mgsin(theta)

How well did you know this?
1
Not at all
2
3
4
5
Perfectly
6
Q

Torque

A
How well did you know this?
1
Not at all
2
3
4
5
Perfectly
7
Q

Torque units

A

N*m

How well did you know this?
1
Not at all
2
3
4
5
Perfectly
8
Q

Work

A

Fdcos(theta)

How well did you know this?
1
Not at all
2
3
4
5
Perfectly
9
Q

Work units

A

1 J = N*m

How well did you know this?
1
Not at all
2
3
4
5
Perfectly
10
Q

Work (pressure volume curve)

A
How well did you know this?
1
Not at all
2
3
4
5
Perfectly
11
Q

Center of mass (no units)

A
How well did you know this?
1
Not at all
2
3
4
5
Perfectly
12
Q

Mechanical Advantage (no units)

A
How well did you know this?
1
Not at all
2
3
4
5
Perfectly
13
Q

Power (in terms of Work and Energy)

A
How well did you know this?
1
Not at all
2
3
4
5
Perfectly
14
Q

Power units

A

Watts = J/s

How well did you know this?
1
Not at all
2
3
4
5
Perfectly
15
Q

Power (in terms of velocity)

A

Fv

How well did you know this?
1
Not at all
2
3
4
5
Perfectly
16
Q

Kinetic and Potential Energy

A
How well did you know this?
1
Not at all
2
3
4
5
Perfectly
17
Q

Units for Potential and Kinetic Energy

18
Q

Elastic potential energy

19
Q

Units for elastic potential energy

20
Q

Hooke’s Law

21
Q

Frequency of a wave

22
Q

Frequency of a wave units

23
Q

Density

A

Mass over volume

24
Q

Units for density

25
Specific gravity
Density of the object over the density of water
26
Buoyant Force
27
Pascal’s Law
28
Hydrostatic Pressure
29
Continuity Equation
A1V1 = A2V2
30
Bernoulli’s Equation
31
Pressure
32
Ideal Gas Law
PV = nRT
33
Boule’s Law
34
Charles’ Law
35
Avagadro’s Law
36
Dalton’s Law of Partial Pressures
37
Heat transferred
38
Standard Heat of Reaction
39
Change in Gibbs Free Energy
40
Units for Change in Gibbs Free Energy