Equity Flashcards

(34 cards)

1
Q

Precedence order

A
  1. Price: Higher bid or lower ask orders get priority.
  2. Display: Visible orders have precedence over hidden orders.
  3. Time: Among similar orders, the one placed first is executed first.
How well did you know this?
1
Not at all
2
3
4
5
Perfectly
2
Q

Forwards vs Futures

A

Both are derivative contracts to buy or sell an asset at a future date, but:
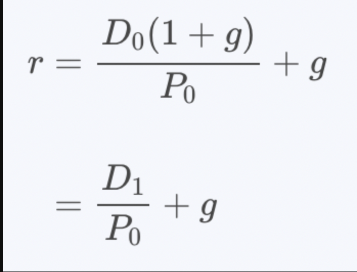
- Forwards: Customized contracts between two parties, traded OTC.
- Futures: Standardized contracts, traded on exchanges, and thus are subject to daily settlement and margin requirements.

How well did you know this?
1
Not at all
2
3
4
5
Perfectly
3
Q

Stop Buy-Stop Loss

A
  • Stop Buy Order: An order to buy a security once its price exceeds a particular point, ensuring a buy only on an upward trend.
  • Stop Loss Order: An order placed to sell a security when it reaches a certain price to limit an investor’s loss.
How well did you know this?
1
Not at all
2
3
4
5
Perfectly
4
Q

Short Put

A

Position: Selling a put option.

Market Outlook: Bullish or neutral. The seller believes the underlying asset’s price will stay above the option’s strike price until expiration.

Profit/Loss: The seller profits from the premium received for selling the option. The risk is potentially significant if the market moves against the position, as the seller may be required to buy the underlying asset at the strike price, which could be much higher than the market value.

Rationale: Investors sell puts when they are willing to own the underlying asset at the strike price, considering it a favorable purchase point, or simply to earn premium income if they believe the asset’s price will not fall below the strike price.

How well did you know this?
1
Not at all
2
3
4
5
Perfectly
5
Q

Long Put

A

Position: Buying a put option.

Market Outlook: Bearish. The buyer believes the underlying asset’s price will fall below the strike price by expiration.

Profit/Loss: The buyer’s maximum loss is limited to the premium paid for the option. The profit potential is significant if the underlying asset’s price falls well below the strike price, less the premium paid.

Rationale: Investors buy puts as a form of insurance against a decline in the asset’s price or to speculate on the asset’s price falling without the risk of short selling the asset directly.

How well did you know this?
1
Not at all
2
3
4
5
Perfectly
6
Q

Short Call

A

Position: Selling a call option.
Market Outlook: Bearish or neutral. The seller bets that the underlying asset’s price will not exceed the option’s strike price by expiration.
Profit/Loss: The seller profits by the amount of the premium received. The risk is potentially unlimited, as there is no cap on how high the asset’s price can rise, and the seller must sell the asset at the strike price if the option is exercised.
Rationale: An investor might sell calls to generate income through premiums if they believe the stock price will remain below the strike price or are willing to sell the stock at the strike price.

How well did you know this?
1
Not at all
2
3
4
5
Perfectly
7
Q

Long Call

A

Position: Buying a call option.

Market Outlook: Bullish. The buyer expects the underlying asset’s price to rise above the strike price by the option’s expiration.

Profit/Loss: The buyer’s risk is limited to the premium paid for the option. The profit potential is unlimited, as any increase in the asset’s price above the strike price (plus the premium paid) could result in profit.

Rationale: Buying calls is a leveraged way to profit from the anticipated increase in the price of the underlying asset without having to purchase the asset outright.

How well did you know this?
1
Not at all
2
3
4
5
Perfectly
8
Q

Securitized Debt

A

Securitization is the process of pooling various types of debt—mortgages, car loans, or credit card debt—into a consolidated financial instrument that is sold to investors. The cash flow from the debt pool pays the investors.

How well did you know this?
1
Not at all
2
3
4
5
Perfectly
9
Q

Margin Call

A

A margin call occurs when the value of an investor’s margin account falls below the broker’s required amount. The formula to determine the margin call price is:

How well did you know this?
1
Not at all
2
3
4
5
Perfectly
10
Q

Seasoned offering

A

Sale of securities by a company that has already undergone an IPO.

How well did you know this?
1
Not at all
2
3
4
5
Perfectly
11
Q

Shelf Offering

A

A regulatory provision allowing an issuer to register a new issue of securities without selling the entire issue at once.

How well did you know this?
1
Not at all
2
3
4
5
Perfectly
12
Q

Callable Shares

A

Can be redeemed by the issuer before the maturity date.

How well did you know this?
1
Not at all
2
3
4
5
Perfectly
13
Q

Putable Shares

A

Holders can sell shares back to the issuing company at a predetermined price.

How well did you know this?
1
Not at all
2
3
4
5
Perfectly
14
Q

Porter’s Five Forces

A

A framework for analyzing a company’s competitive environment. The forces include competitive rivalry, supplier power, buyer power, threat of substitution, and the threat of new entry.

How well did you know this?
1
Not at all
2
3
4
5
Perfectly
15
Q

PESTLE Analysis

A

Examines external factors affecting a business—Political, Economic, Social, Technological, Legal, and Environmental.

How well did you know this?
1
Not at all
2
3
4
5
Perfectly
16
Q

Validity

A

Definition: Validity refers to the conditions under which a trade or order remains active or enforceable. It is a critical aspect of order management in trading, dictating how long an order can stay open before it is either filled or cancelled.

Types: Common types of validity include “Day” orders, which expire at the end of the trading day if not filled; “Good-Till-Cancelled” (GTC) orders, which remain active until they are filled or explicitly cancelled by the trader; and “Immediate or Cancel” (IOC) orders, which must be filled immediately to the extent possible, with any unfilled portion being cancelled.

Purpose: Validity conditions allow traders to better manage their trading strategies and risks by specifying the timeframe in which their orders can execute.

17
Q

Clearing

A

Definition: Clearing is the process of updating accounts of the trading parties and arranging for the transfer of money and securities. It is an essential step in the trade lifecycle that occurs after trading and before settlement.

Process: Clearing involves identifying the obligations of each party (how much and what is to be bought/sold), arranging for the transfer of securities and money, and ensuring that the correct amounts are exchanged. Clearinghouses or central counterparties (CCPs) often facilitate this process to manage the risk of one party defaulting on their obligations.

Purpose: The clearing process mitigates counterparty risk, ensures the accuracy of trade records, and prepares for the final settlement of transactions.

18
Q

Execution

A

Definition: Execution is the process by which an order is matched with an opposing order and completed, resulting in a legal agreement between the buyer and seller to exchange the securities for cash at the agreed price.

Mechanism: Execution can occur on various platforms, including exchanges and over-the-counter (OTC) markets. The specifics of how orders are matched can vary depending on the trading venue’s rules and the type of orders submitted.

Outcome: Once an order is executed, both the buyer and seller are legally bound to complete the transaction at the specified price and terms. The details of the executed trade are then reported, and the trade moves to the clearing stage.

19
Q

Market Efficiency

A
  • Weak Efficiency: Prices reflect all past market data.
  • Semi-Strong Efficiency: Prices reflect all publicly available information.
  • Strong Efficiency: Prices reflect all information, public and private.
20
Q

Gordon growth model for intrinsic value

21
Q

Gordon growth for P/E ratio

22
Q

Gordon growth model for required rate of return

23
Q

Operating Leverage

A

Operating Leverage describes the extent to which a company can increase its profits by increasing sales. A company with high operating leverage will see a more significant increase in profitability from a sales increase because its fixed costs will remain constant while revenue grows. High operating leverage indicates that a company has a high proportion of fixed costs to variable costs. It’s not represented by a single formula but is demonstrated through the effect on net income when sales volume changes.

24
Q

Contribution Margin

A

Contribution Margin represents the incremental money generated for each product/unit sold after covering variable costs. It is a measure of the profitability of individual products and can be calculated using the formula:

25
Primary dealer
26
Broker dealer
A broker-dealer is a person or a firm in the financial services sector that is licensed to engage in the buying and selling of securities for its own account or on behalf of its clients. This dual role encompasses the functions of both a broker and a dealer, hence the name "broker-dealer."
27
Uniform Pricing Rule
Definition: This term often relates to the practice of selling goods or services at the same price to all buyers. In the context of securities exchanges, it could refer to a rule where all market participants receive the same price in a transaction when that transaction is executed at a particular time. Application: It is applied in stock exchanges during the matching of orders in the market, where all trades at the same time for the same security are executed at the same price, regardless of the order size or the participant initiating the trade. OFTEN IN CALL MARKETS.
28
Discriminatory Pricing Rule
In continuous trading markets, the discriminatory pricing rule is used. This rule sets the price according to the limit price of the first standing order.
29
Brokered Market
Brokers match their clients’ trades for rare and illiquid instruments, as these wouldn’t attract many orders in traditional markets. This market involves a small number of individuals or institutions making trades.
30
Derivative pricing rule
Crossing networks, which pair buyers and sellers using prices from other markets, use the derivative pricing rule. Typically, this means using the midpoint between the best bid and ask quotes for the underlying asset.
31
Order-Driven Markets
Order-driven markets arrange trades using rules to match buy orders to sell orders submitted by customers or dealers. Almost all exchanges use order-driven trading systems, and every automated trading system is an order-driven system. Two sets of rules characterize order-driven market mechanisms: order matching rules, which match buy and sell orders, and trade pricing rules, which determine the price of the matched trades.
32
Quote-Driven Markets/Over-the-Counter (OTC) Markets
In quote-driven markets, customers trade at prices quoted by dealers who generally work for commercial banks, investment banks, broker-dealers, or trading houses. Most trades in these markets are conducted through proprietary computer communications networks or by phone.
33
Money markets
Purpose: The money market is where short-term funds are borrowed and lent, typically for periods of a year or less. Instruments: Common instruments include treasury bills, commercial paper, certificates of deposit, repos (repurchase agreements), and short-term government and corporate bonds. Liquidity: Money market instruments are highly liquid due to their short maturities. Risk: Generally considered lower risk because of the short-term nature of the investments. Participants: Includes banks, financial institutions, governments, corporations, and other institutional investors. Function: Used for managing short-term liquidity needs by both borrowers and lenders.
34
Capital Markets
Purpose: Capital markets are used for the raising of long-term funds, typically with maturities exceeding one year. Instruments: Includes long-term securities like bonds, debentures, and stocks (equities). Liquidity: Varies, but equity instruments (stocks) are generally quite liquid, while long-term debt (bonds) can vary in liquidity. Risk: Higher risk relative to money markets due to longer-term exposure and the higher uncertainty associated with long-term investments. Participants: Consists of individual investors, institutional investors, governments, and companies. Function: Used by companies for capital investment and expansion and by governments to fund various projects.