Equity Valuation Flashcards

(60 cards)

1
Q

Alpha

A

An excess risk adjusted return

How well did you know this?
1
Not at all
2
3
4
5
Perfectly
2
Q

Fair Market Value

A

The price at which an asset would change hands when neither has a compulsion to buy/sell. Both participants are informed.

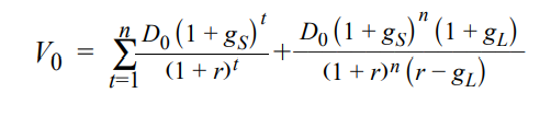
How well did you know this?
1
Not at all
2
3
4
5
Perfectly
3
Q

Investment Value

A

Value of an asset specific to an individual investor

How well did you know this?
1
Not at all
2
3
4
5
Perfectly
4
Q

Absolute Valuation Model

A

Model that tries to specify an asset’s intrinsic value

How well did you know this?
1
Not at all
2
3
4
5
Perfectly
5
Q

Asset Based Valuation

A

A type of absolute valuation model that values a cpmpany on the basis of the assets or resources it controls.

How well did you know this?
1
Not at all
2
3
4
5
Perfectly
6
Q

Relative Valuation Model

A

Values assets in realtion to other assets

How well did you know this?
1
Not at all
2
3
4
5
Perfectly
7
Q

Pairs Trading Strategy

A

Investing in a pair of similar stocks, shorting the overvalued and buying the undervalued one.

How well did you know this?
1
Not at all
2
3
4
5
Perfectly
8
Q

Conglomerate Discount

A

The idea that companies that operate in multiple, unrelated industries have are priced at a discount to businesses with a narrower focus.

How well did you know this?
1
Not at all
2
3
4
5
Perfectly
9
Q

Blockage Factor

A

Price that could be realized if shares of a large bloack were sold in smaller blocks that do not have a liquidity discount.

How well did you know this?
1
Not at all
2
3
4
5
Perfectly
10
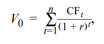
Q

Present Value Model

A
How well did you know this?
1
Not at all
2
3
4
5
Perfectly
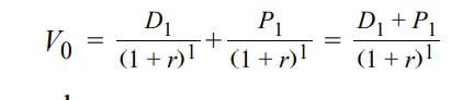
11
Q

Single Period Dividend Discount Model (DDM)

A
How well did you know this?
1
Not at all
2
3
4
5
Perfectly
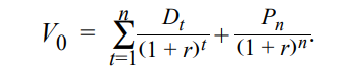
12
Q

Mulitple Period Dividend Dicount Model (DDM)

A
How well did you know this?
1
Not at all
2
3
4
5
Perfectly
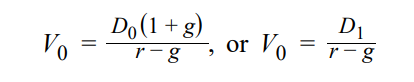
13
Q

Gordon Growth Model

A
How well did you know this?
1
Not at all
2
3
4
5
Perfectly
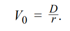
14
Q

Perpetuity

A
How well did you know this?
1
Not at all
2
3
4
5
Perfectly
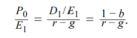
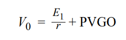
15
Q

Value as a function of a No-Growth Company + PVGO

A
How well did you know this?
1
Not at all
2
3
4
5
Perfectly
16
Q

P/E Formula as a function of No-Growth Company + PVGO

A
How well did you know this?
1
Not at all
2
3
4
5
Perfectly
17
Q

Justified (Fundamental) P/E

A

P/E that is justifed from a fundamental analysis (like Gordon Growth Model)

How well did you know this?
1
Not at all
2
3
4
5
Perfectly
18
Q

Leading P/E

A
How well did you know this?
1
Not at all
2
3
4
5
Perfectly
19
Q

Trailing P/E

A
How well did you know this?
1
Not at all
2
3
4
5
Perfectly
20
Q

Two Stage DDM

A
How well did you know this?
1
Not at all
2
3
4
5
Perfectly
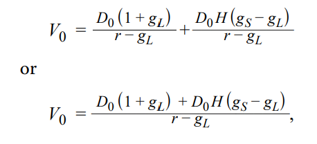
21
Q

H-Model

A
How well did you know this?
1
Not at all
2
3
4
5
Perfectly
22
Q

Sustainable Growth Rate

A
How well did you know this?
1
Not at all
2
3
4
5
Perfectly
23
Q

ROE Formula (Basic)

A
How well did you know this?
1
Not at all
2
3
4
5
Perfectly
24
Q

(Three way) Dupont Analysis of ROE

A
How well did you know this?
1
Not at all
2
3
4
5
Perfectly
25
PRAT Model | (Sustainable Growth Formula)
(P) Profit Margin (R) Retention Rate (A) Asset Turnover (T) Financial Leverage
26
Discounted FFCF Valuation
## Footnote Subtract Debt from Firm Value to get Value of Equity
27
Weighted Avergae Cost of Capital (WACC) Formula
28
Discounted FCFE Valuation
29
Constant Growth FCFF Model
## Footnote Subtract Value of Debt from Firm Value to get Equity Value
30
FCFF | Computed from Net Income
31
FCFF | Computed from Cash Flow From Operations (CFO)
32
FCFE | Computed from FCFF
33
FCFE | Computed From Net Income
34
FCFE | Computed from CFO
35
FCFF | Computed from EBIT
36
FCFF | Computed from EBITDA
37
Trailing P/E
Current Price divided by last 12 month's EPS
38
Forward P/E | Leading P/E or Prospective P/E
Current price divided by expected next 12 month's EPS
39
Basic EPS VS. Diluted EPS
Diluted EPS takes into account the additional number of shares that would be created in the exercise of stock options, grants, conversions, etc.
40
Underlying Earnings
Earnings excluding non-recurring items ## Footnote Also called Persistent, Continuing or Core Earnings
41
Molodovsky Effect
High P/E in the bottom of a cycle and low PE at the top of a cycle
42
Normalized EPS
EPS based on Mid-Cycle conditions
43
Earnings Yield
E/P | Inverse of P/E
44
Justified Forward P/E | Based off of GGM
45
Justified Trailing P/E | Based off of GGM
46
PEG Ratio
P/E divided by the expected earnings growth
47
Book Value of Equity
The common shareholders value of equity (Total Assets - Total Liabilities - Preffered Stock)
48
Tangible Book Value per Share
Book value of equity minus intangible assets, divided by number of shares
49
Goodwill
Excess of purhcase price to fair market value of tangible & identifiable intangible assets
50
Justified P/B | Based of GGM
51
Justified P/B | Based off of Residual Income Model
52
Forward P/S | Based off of GGM
53
Trailing P/S | Based off of GGM
54
Enterprise Value
Total Market Value of Firm (Debt + Preffered Equity + Common Equity) minus cash & Short Term investments
55
Return on Invested Capital (ROIC)
Operating Profit after Tax divided by invested capital
56
Scaled Earnings Surprise
Unexpected earnings divided by standard deviation of analyst's earnings forecasts
57
Standardized Unexpected Earnings (SUE)
58
Harmonic Mean
59
Weighted Harmonic Mean
60