Ester Synthesis Flashcards

(51 cards)

1
Q

What is the general structure of an ester NAME?

A

“Alkyl Alkanoate”

–> #Cs of alcohol + -yl ending
–> Name of the carboxylic acid MINUS -ic ending and PLUS the -OATE ending

How well did you know this?
1
Not at all
2
3
4
5
Perfectly
2
Q

How are esters prepared?

A

Condensation reaction of an alcohol and a carboxylic acid

How well did you know this?
1
Not at all
2
3
4
5
Perfectly
3
Q

General synthesis reaction for esters

A

R1OH + R2COOH = R1COOR2 (Ester)

How well did you know this?
1
Not at all
2
3
4
5
Perfectly
4
Q

What does the “alkyl” part of the ester name come from?

A

The reacting ALCOHOL

How well did you know this?
1
Not at all
2
3
4
5
Perfectly
5
Q

What does the “acyl / alkanoate” part of the ester name come from?

A

The reacting CARBOXYLIC ACID

How well did you know this?
1
Not at all
2
3
4
5
Perfectly
6
Q

What bond is broken in the reaction for ester synthesis?

A

The ester linkage bond is formed by breaking the alpha carbon (carbonyl carbon) bond to the OH grp on the carboxylic acid

How well did you know this?
1
Not at all
2
3
4
5
Perfectly
7
Q

What components of the alcohol get incorporated into the ester formation?

A

Of the ROH, the RO gets incorporated into ester and the H is involved in the condensation part of the rxn (goes to form H2O with the OH from the carboxylic acid)

How well did you know this?
1
Not at all
2
3
4
5
Perfectly
8
Q

What components of the carboxylic acid get incorporated into the ester formation?

A

Of the RCOOH, the RC=O gets incorporated into the ester and the OH grp. gets involved in the condensation part of the rxn (goes to form H2O with the H from the alcohol)

How well did you know this?
1
Not at all
2
3
4
5
Perfectly
9
Q

If you know the structure of an ester, how can you determine what its composing alcohol and carboxylic acid were?

A

By breaking the ester at the ESTER LINKAGE!

Break the bond between the carbonyl carbon and the single bond to oxygen!

Then protonate/add OH grps to these fragments and you’ll get the reactants!

How well did you know this?
1
Not at all
2
3
4
5
Perfectly
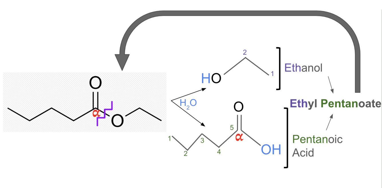
10
Q

What is the name of this ester?

What was the process for determining this?

A

Ethyl Pentanoate

1) Find the ester linkage bond (bond between carbonyl carbon (alpha carbon) and the single bonded oxygen

2) Break the ester linkage bond

3) Give OH groups to the broken ends of the two fragments

4) Name each fragment (alcohol and carboxylic acid)

5) Take the name of the alcohol, replace -ol with -yl

6) Take the carboxylic acid, replace -oic with -oate

7) Combine the two modified names (alcohol first)

How well did you know this?
1
Not at all
2
3
4
5
Perfectly
11
Q

Without concentrated acid, will the synthesis reaction for an ester take place?

A

YES

–> It will occur, however it will just take a long time

How well did you know this?
1
Not at all
2
3
4
5
Perfectly
12
Q

Why did we add H2SO4 to the reaction mixture of carboxylic acid and alcohol?

A

We did so to speed up the reaction!

H2SO4 acted as a catalyst!

How well did you know this?
1
Not at all
2
3
4
5
Perfectly
13
Q

What did we do to speed up the esterification reaction?

A

1) Added a catalyst (H2SO4)
2) Added heat

How well did you know this?
1
Not at all
2
3
4
5
Perfectly
14
Q

Is the ester synthesis reaction reversible?

A

YES IT IS

How well did you know this?
1
Not at all
2
3
4
5
Perfectly
15
Q

Why is the reversible nature of the ester synthesis reaction a problem?

A

Because, if we want to make ester, we want that component to be the majority

–> However, with the reaction in equilibrium, the ester will keep forming and deforming (= cannot maximize amount of ester)

How well did you know this?
1
Not at all
2
3
4
5
Perfectly
16
Q

What was done to combat the reversible nature of the ester synthesis reaction? (maximize ester yield)

A

Added an EXCESS of the reactants (carboxylic acid)

How well did you know this?
1
Not at all
2
3
4
5
Perfectly
17
Q

What can be done to drive a reaction towards the products?

A

1) REMOVE products
2) ADD reactants

How well did you know this?
1
Not at all
2
3
4
5
Perfectly
18
Q

What was the limiting reagent in the ester synthesis reaction?

A

ALCOHOL

How well did you know this?
1
Not at all
2
3
4
5
Perfectly
19
Q

What reactant was in excess for the ester synthesis reaction?

A

Carboxylic Acid

How well did you know this?
1
Not at all
2
3
4
5
Perfectly
20
Q

If 0.05 mol of alcohol and 0.1 mol of carboxylic acid are set to react, what is the max amount of ester that can be formed?

A

0.05 mol of ester!

–> Can only produce as much as the limiting reactant = 0.05 mol

How well did you know this?
1
Not at all
2
3
4
5
Perfectly
21
Q

In an ester synthesis, if we need to use 0.10 mol of acid, what volume of the acid do we need to add to the reaction mixture?

MW of Acid = 88.11 g/mol
D = 0.96 g/mL

A

1) Get the grams needed:
(moles needed) X (MW)

= (0.10 mol) X (88.11 g/mol) = 8.8g

2) Get the mL needed:
(g of substance) / (Density)

= (8.8g) X (1 mL / 0.96g) = 9.2mL

22
Q

Assuming the ester synthesis reaction goes to COMPLETION (in the image shown):

What components would be left in the RBF upon reaction completion?

A

1) ESTER
2) Water
3) ACID CATALYST
4) Carboxylic Acid (because the reactant was in excess, so some is leftover! )

NO ALCOHOL LEFT IN THE RBF!!! (all used up)

23
Q

Catalyzed ester synthesis reaction

A

ROH + RCOOH (+Heat) (+H2SO4) = ESTER + H2O

24
Q

Liquid-Liquid Extraction

A

Separates compounds between two immiscible liquids based upon their solubility properties

–> Usually has an aqueous (polar) phase and an organic (non-polar) phase

25
What determines the way that the layers form in liquid-liquid extraction?
Density!! --> The more dense layer will be on the bottom and the top layer will be less dense
26
Extraction
Extracting (moving) a desired solute from ONE solvent (its original place) to ANOTHER
27
Washing
Removing unwanted solutes from ONE solvent (its original place) to ANOTHER
28
In the extraction process, which layer will contain the ester?
ORGANIC LAYER
29
In the extraction process, which layer will the concentrated acid end up in?
AQUEOUS LAYER
30
In the extraction process, what happens to the carboxylic acid?
It is soluble in BOTH aqueous AND organic layers!!! --> It will go into BOTH!
31
What is the partition coefficient?
When molecules are soluble (present) in BOTH the aqueous and organic layers, the way that the molecules partition (extent to which they end up in each layer) is determined by the concentration of that molecule within each layer
32
Partition coefficient (K) =
(Concentration of solute in solvent 2) / (Concentration of solute in solvent 1) ## Footnote NOTE; Typically organic solvent/aqueous solvent
33
A solution of 3.5g of a compound in 100mL of water (solvent 1) is extracted with 50mL of ether (solvent 2). Upon extraction: 1.0g remained in the aqueous layer and 2.5g was extracted into the organic layer. What is the partition coefficient?
Conc. in solvent 2 (ether) = 2.5g/50mL = 0.05 Conc. in solvent 1 (water) = 1.0g/100mL = 0.01 K = (conc. in 2) / (conc. in 1) = (0.05)/(0.01) = 5.0
34
What can we use partition coefficient for/how can we use it for this purpose?
We can use it to determine what solvent to extract a component with! The higher the partition coefficient for a molecule in a given solvent, the more that molecule will end up in that solvent So if a molecule has K = 6 in toluene and K = 3 in ether, TOLUENE should be utilized as the organic solvent rather than ether (as more of the molecule will end up in the extracted layer!)
35
After the first extraction step (in the ester extraction), what components are in each layer?
Aqueous Layer = H2SO4, H2O, **carboxylic acid** Organic Layer = Ether (organic solvent), ESTER, **carboxylic acid**
36
How was the carboxylic acid removed from the organic layer containing ester? (How did we isolate the ester?)
ACID-BASE EXTRACTION --> Makes the acid charged = will dissolve better in the aqueous phase
37
Acid-base extraction: How did it work in the ester extraction?
1) Through the addition of a DILUTE base, the carboxylic acid gets DEPROTONATED 2) base becomes charged (+) as the conj. acid and ACID becomes charged (-) as the conj. base!! --> Charged molecules = more soluble in water 3) The conj. acid and base move to the aqueous layer
38
Are alcohols acidic or basic?
NEITHER --> They are neutral!
39
Are amines acidic or basic?
BASIC (NH2) (NH3 is the neutral form)
40
If a solution containing the following components (image) is extracted using aqueous HCl, what will remain in the organic layer?
The carboxylic acid AND the alcohol will remain in the organic layer --> The amine will get protonated = charged = moves to the aqueous layer (gets WASHED away!)
41
How do we represent separation of products into different phases in a reaction mechanism?
Through FORKED arrows
42
How would you isolate benzoic acid in this reaction?
Add an aqueous BASE and organic solvent Ex: Add NaOH and diethyl ether --> benzoic acid will get deprotonated by NaOH = (+) charge (conj. base = benzoate) = greater solubility in the aq. layer = goes into the aqueous layer! --> the leftover initial reactant (hydrocarbon) will NOT react with NaOH (because it is neutral) and go into the diethyl ether
43
How did WE remove carboxylic acid from the organic phase?
We reacted the carboxylic acid with SODIUM CARBONATE (Na2CO3)
44
Why did we use sodium carbonate instead of sodium hydroxide in the acid-base rxn to remove the carboxylic acid from the organic layer?
Because NaOH would react with the ESTER!!! --> = we'd get no ester left in the organic phase Na2CO3 on the other hand will react with the carboxylic acid and NOT with the ester!
45
What does the reaction of carboxylic acid and sodium carbonate produce?
1) Sodium carboxylate SALT (charged) --> very soluble in aq layer 2) H2CO3 (carbonic acid) --> Which dissociates into WATER and CO2
46
Where is the gas coming from the requires the separatory funnel to be released upon each turn?
It comes from the CO2 generated by the acid-base rxn of carboxylic acid and the base (sodium carbonate)
47
Does the reaction with sodium carbonate represent extraction or washing?
WASHING --> B/c we are moving an unwanted component (carboxylic acid) from the phase we WANT to a different phase!
48
What phase must the pH be tested to determine if washing of the organic layer is complete?
The aqueous phase!!!! --> The aqueous phase will become BASIC as more carboxylic acid turns into its conjugate base and "falls" into the aqueous layer
49
After washing the organic layer of the carboxylic acid, what last step was conducted to fully purify the organic phase?
DRYING OF THE ORGANIC PHASE --> utilized magnesium carbonate to remove any "invisible water"
50
How was the ester separated from the organic solvent?
By ROTOEVAPORATION
51
What was the organic solvent utilized to extract the ester?
ETHER