Estrogens Flashcards

(26 cards)

1
Q

Name the compound

A
How well did you know this?
1
Not at all
2
3
4
5
Perfectly
2
Q

Name the compound

A
How well did you know this?
1
Not at all
2
3
4
5
Perfectly
3
Q

Development and maintenance of female reproductive tissue (ovaries, uterus, breast, vagina)
Regulation in CNS (temp., mood)
Effects in peripheral tissues (bone, cardiovascular, liver)

A

Estrogens

How well did you know this?
1
Not at all
2
3
4
5
Perfectly
4
Q

Development and maintenance of female reproductive tissue (uterus, breast)
Maintenance of pregnancy
Effects in other tissues (brain)

A

Progesterone

How well did you know this?
1
Not at all
2
3
4
5
Perfectly
5
Q

Regulation of estrogen synthesis

A
How well did you know this?
1
Not at all
2
3
4
5
Perfectly
6
Q

Granulosa cells produce ___________

A

estrogen

How well did you know this?
1
Not at all
2
3
4
5
Perfectly
7
Q

Corpus luteum produces both ______ and _________

A

estrogen and progesterone

How well did you know this?
1
Not at all
2
3
4
5
Perfectly
8
Q

Phase where estrogen suppresses the production of FSH

A

Early follicular phase

How well did you know this?
1
Not at all
2
3
4
5
Perfectly
9
Q

Phase estrogen stimulates the surge of LH and FSH -> ovulation and formation of corpus luteum

A

Late follicular phase

How well did you know this?
1
Not at all
2
3
4
5
Perfectly
10
Q

Phase estrogen and progesterone suppresses the production of LH and FSH

A

Luteal phase

How well did you know this?
1
Not at all
2
3
4
5
Perfectly
11
Q

Biosynthesis of estrogens

A
How well did you know this?
1
Not at all
2
3
4
5
Perfectly
12
Q

Metabolism and excretion

A
How well did you know this?
1
Not at all
2
3
4
5
Perfectly
13
Q

Activity

A
How well did you know this?
1
Not at all
2
3
4
5
Perfectly
14
Q

Ethinyl estradiol, Mestranol, and Quinestrol are examples of what estrogens

A

17 alpha-alkylated estrogens

How well did you know this?
1
Not at all
2
3
4
5
Perfectly
15
Q

Estradiol valerate and estradiol cypionate are typically used for what clinical action

A

Slow absorption from the injection site (depot) prolongs the action

How well did you know this?
1
Not at all
2
3
4
5
Perfectly
16
Q

Estrone sulfate and equilin sulfate are found it what substance? What are they classified as?

A

Usually collected from pregnant mares’ urine
Conjugated estrogens

17
Q

What is the estrogen?
Used in 1940-1970 to prevent miscarriage,
now used for advanced prostate cancer

A

Non-steroidal estrogen
Diethyl stilbestrol (DES)

18
Q

Postpartum breast engorgement, menopause symptoms, prostate cancer

A

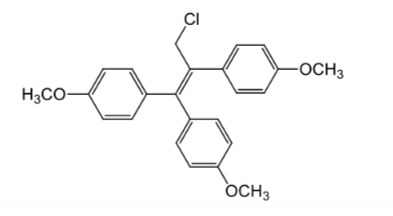
Chlorotrianisene

19
Q

Partial estrogen agonists, mostly nonsteroidal estrogens

A

Selective estrogen receptor modulators (SERM)

20
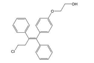
Q

Prodrug; partial estrogen agonist
Antiestrogen actions: treatment and prevention of breast cancer
Estrogenic actions: weak estrogen agonist at endometrial cells, increases the risk for thromboembolic events, prevents osteoporosis

21
Q

Structurally similar to tamoxifen; SERM
Used to treat advanced breast cancer

22
Q

Structurally similar to toremifene, SERM, Estrogenic effects on the vaginal epithelium, Used to treat dyspareunia in post-menopausal women

23
Q

SERM; partial estrogen agonist
Tissue-specific activities
Estrogen: Prevents osteoporosis in postmenopausal women
Decreases LDL levels in blood, increases the risk for blood clots
Antiestrogen: Decreases the risk for breast cancer, does not stimulate endometrial cells, may cause hot flashes

24
Q

SERM; partial agonist
Increases secretion of FSH and LH by inhibiting negative estradiol feedback
Used to stimulate ovulation in women with oligomenorrhea or amenorrhea and ovulatory dysfunction; PCOS

25
SERD; pure estrogen receptor antagonist for the treatment of breast cancer
Fulvestrant (Faslodex)
26
Block the biosynthesis of estrogens Effective in some patients whose breast cancer is treatment resistant to tamoxifen Ovulation induction, gynecomastia
Aromatase inhibitors: Anastrozole, letrozole, and exemestane