WHEN PROBLEM IS “FORWARD” ROUND Z AREA TO ___ DECIMALS
2 DECIMALS
WHEN PROBLEM IS “BACKWARD” ROUND Z AREA TO ___ DECIMALS
CLOSEST VALUE
ROUND Z 2 DECIMALS WHEN PROBLEM IS ___
“FORWARD”
ROUND Z AREA TO CLOSEST VALUE WHEN PROBLEM IS ___
“BACKWARD”
FORMULA: t-STAT, µ KNOWN, σ UNKNOWN

FORMULA: CONFIDENCE INTERVAL FOR MU
(x_) +/- (tALPHA/2,n-1) (S / SQROOTn)
FORMULA: PROPORTION HYPOTHESIS
(pBAR - p0) / (SQROOT((p(1-p)) / (n))
80% CI, 0.1 SINGLE TAIL AREA, Z=___
Z = 1.28
90% CI, 0.05 SINGLE TAIL AREA, Z=___
Z = 1.645
95% CI, 0.025 SINGLE TAIL AREA, Z=___
Z = 1.96
98% CI, 0.01 SINGLE TAIL AREA, Z=___
Z = 2.33
99% CI, 0.005 SINGLE TAIL AREA, Z=___
Z = 2.575
FORMULA: CONFIDENCE INTERVAL FOR P
pBAR -/+ (ZSTAT) / (SQROOT((pBAR(1 - pBAR))/n)
THE 5 COMMON Zs RELATE TO WHAT CONCEPT?
CONFIDENCE INTERVAL
FORMULA: C.I. FOR MU: SIGMA KNOWN
xBAR -/+ (Z,sigma/2) (SQROOT(SIGMA^2 / n))
FORMULA: C.I. FOR MU: SIGMA UNKNOWN
xBAR -/+ (t,sigma/2,n-1) (SQROOT(S^2 / n))
FORMULA: C.I. FOR MU: SIGMAS KNOWN, INDEPENDENT SAMPLES
L = (xBAR1 - xBAR2) -/+ (Z,apha/2) (SQRT((SIGMA1^2 / n1) + (SIGMA2^2 / n2))
FORMULA: C.I. FOR MU: SIGMAS UNKNOWN, INDEPENDENT SAMPLES
L = (xBAR1 - xBAR2) -/+ (t,apha/2,d.f.) (SQRT((SIGMA1^2 / n1) + (SIGMA2^2 / n2))
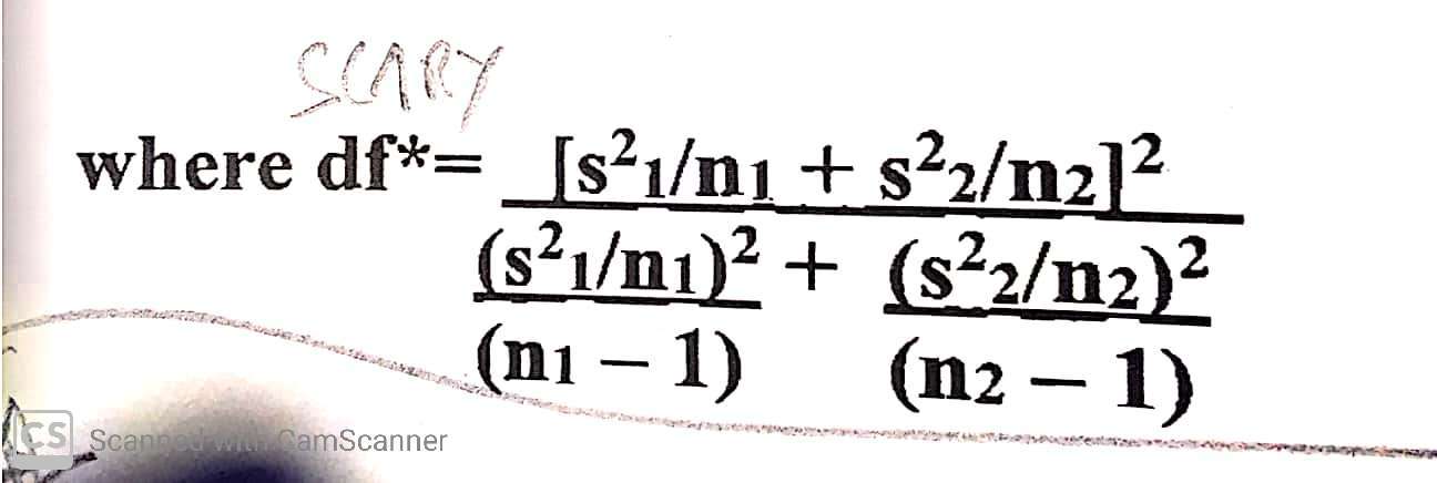
SCARY d.f.

C.I. MU UNK, IND SAMPLES, EQUAL

C.I. MUs UNK, DEP SAMPLES

FORMULA: SAMPLE VARIANCE

C.I., LARGE ns, INDEP SAMPLES
