Exam 3 Flashcards

(62 cards)

1
Q

point estimate

A

single number that is our “best guess” for a parameter

How well did you know this?
1
Not at all
2
3
4
5
Perfectly
2
Q

properties of good estimators (3)

A
  1. sampling distribution centered at parameter (unbiased)
  2. small standard deviation
  3. relatively efficient (small variance)
How well did you know this?
1
Not at all
2
3
4
5
Perfectly
3
Q

interval estimate

A

interval within which the parameter is believed to fall

How well did you know this?
1
Not at all
2
3
4
5
Perfectly
4
Q

2 properties that define interval estimate

A

margin of error
confidence level

How well did you know this?
1
Not at all
2
3
4
5
Perfectly
5
Q

margin of error

A

measures how accurate the point estimate is likely to be

How well did you know this?
1
Not at all
2
3
4
5
Perfectly
6
Q

confidence level

A

probability of interval containing the parameter

How well did you know this?
1
Not at all
2
3
4
5
Perfectly
7
Q

formula for interval for μ, assuming that σ is known

A
How well did you know this?
1
Not at all
2
3
4
5
Perfectly
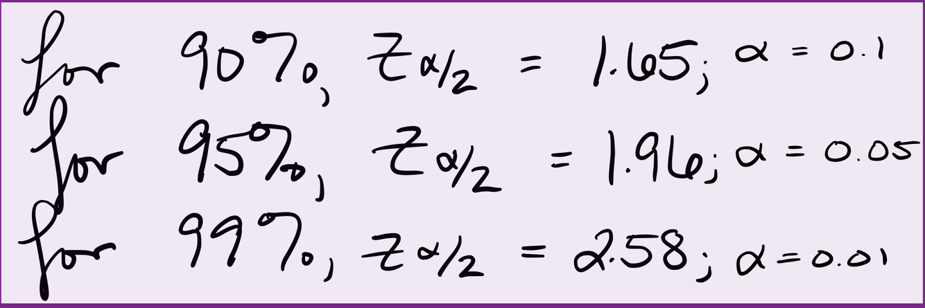
8
Q

3 common confidence levels with z(𝛼/2)

A
How well did you know this?
1
Not at all
2
3
4
5
Perfectly
9
Q

correct way to describe conclusion with a confidence interval

A

with –% confidence, we can say that the interval contains the parameter

How well did you know this?
1
Not at all
2
3
4
5
Perfectly
10
Q

formula for minimum sample size needed for an interval estimate of μ

A

E = margin of error

How well did you know this?
1
Not at all
2
3
4
5
Perfectly
11
Q

way to get crude σ if not given

A

σ ≈ range/6

How well did you know this?
1
Not at all
2
3
4
5
Perfectly
12
Q

formula for interval for μ, assuming σ is not known

A
How well did you know this?
1
Not at all
2
3
4
5
Perfectly
13
Q

as n ↑, t ….

A

approaches z (standard normal distr)

How well did you know this?
1
Not at all
2
3
4
5
Perfectly
14
Q

point estimate for pop proportion

A

p hat

How well did you know this?
1
Not at all
2
3
4
5
Perfectly
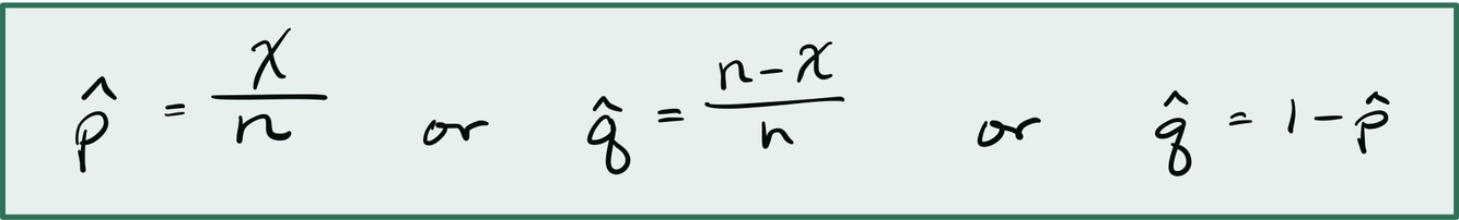
15
Q

formula for p hat, q hat

A
How well did you know this?
1
Not at all
2
3
4
5
Perfectly
16
Q

formula for interval for p

A
How well did you know this?
1
Not at all
2
3
4
5
Perfectly
17
Q

formula for minimum sample size needed for proportion

A
How well did you know this?
1
Not at all
2
3
4
5
Perfectly
18
Q

if p hat is not given on sample size problem…

A

use p hat = 0.5

How well did you know this?
1
Not at all
2
3
4
5
Perfectly
19
Q

chi square characteristics

A

right skewed
area = 1.00
no negatives

How well did you know this?
1
Not at all
2
3
4
5
Perfectly
20
Q

“left” chi value

A

x^2 (1-𝛼/2)

How well did you know this?
1
Not at all
2
3
4
5
Perfectly
21
Q

“right” chi value

A

x^2 (𝛼/2)

How well did you know this?
1
Not at all
2
3
4
5
Perfectly
22
Q

formula for σ interval

A
How well did you know this?
1
Not at all
2
3
4
5
Perfectly
23
Q

for what CI is chi square used?

A

variance/std dev

How well did you know this?
1
Not at all
2
3
4
5
Perfectly
24
Q

chi value 𝛼 gives area to the….

A

right of the critical value

How well did you know this?
1
Not at all
2
3
4
5
Perfectly
25
3 methods of HT
traditional method p-value method confidence interval method
26
hypothesis
statement about a population, usually of the form that a certain parameter takes a particular numerical value or falls in a certain range
27
null hypothesis states...
that there is no difference between parameter and value
28
alternative hypothesis states...
that there is a difference between parameter and value
29
conclusion language if claim is H0
"enough/not enough evidence to reject"
30
conclusion language if claim is H1
"enough/not enough evidence to support"
31
type II error symbol
H0 is not true, but you fail to reject H0 β
32
type I error symbol
H0 is true, but you reject it 𝛼
33
default 𝛼 for HT
0.05
34
when to use right tail test
H1: parameter > #
35
when to use left tail test
H1: parameter < #
36
when to use two tail test
H1: parameter ≠ #
37
traditional HT method steps
1) hypotheses & claim 2) critical values 3) test statistic 4) decision 5) conclusion
38
formula to generate z test stat for HT
39
p-value
area of rejection region(s) probability of getting an extreme sample statistic in the direction of H1
40
in the p-value method you presume...
H0 is true
41
how to find p-value
z table or normalcdf
42
p-value decision rule
reject H0 if p-val < 𝛼
43
low p-value increases probability of...
H1 being true
44
T-test method of HT used when...
σ is unknown
45
formula to generate t test stat for HT
46
use for proportion HTs
z-test
47
formula to generate z test stat for proportion HT
48
chi-square is used for HT for which parameter?
σ or σ^2
49
formula to generate chi test stat for variance HT
50
2 tests used on qualitative variables
goodness of fit test for independence
51
GOF used when...
there is one variable
52
what question does GOF answer?
how well does observed data fit what is expected?
53
formula to generate chi test stat for GOF and TFI
54
GOF and TFI use ------- distribution
chi square
55
DF for GOF
56
H0 and H1 for GOF
H0: p1 = #, p2 = #, etc H1: at least one proportion is different
57
TFI used when...
there are more than one variable in a contingency table
58
what question does TFI answer?
is there a relationship between the variables?
59
DF for TFI
60
H0 and H1 for TFI
H0: no relationship/independent H1: there is a relationship/dependent
61
how to find expected values in each cell for TFI
62
cell notation