Exam 3 - Linear Programming Flashcards

(30 cards)

1
Q

The optimal solution to an LP always lies at a ____ of the feasible region

A

vertex

How well did you know this?
1
Not at all
2
3
4
5
Perfectly
2
Q

Solving LP programs is ____ runtime

A

polynomial

How well did you know this?
1
Not at all
2
3
4
5
Perfectly
3
Q

Solving LP programs is ____ difficulty

A

P

How well did you know this?
1
Not at all
2
3
4
5
Perfectly
4
Q

True/False : Integer LP (ILP) is NP-complete

A

True

How well did you know this?
1
Not at all
2
3
4
5
Perfectly
5
Q

True/False : The feasible region is always convex

A

True

How well did you know this?
1
Not at all
2
3
4
5
Perfectly
6
Q

Vertices of the feasible region are points that satisfy n constraints with _

A

=

How well did you know this?
1
Not at all
2
3
4
5
Perfectly
7
Q

Vertices of the feasible region are points that satisfy m constraints with

A

<=

How well did you know this?
1
Not at all
2
3
4
5
Perfectly
8
Q

The feasible region has at most ____ vertices

A

n + m choose n

How well did you know this?
1
Not at all
2
3
4
5
Perfectly
9
Q

The vertices of the feasible region have at most ____ neighbors

A

n * m

How well did you know this?
1
Not at all
2
3
4
5
Perfectly
10
Q

What is the feasible region?

A

Possible variable values that satisfy the constraints

How well did you know this?
1
Not at all
2
3
4
5
Perfectly
11
Q

If the feasible region is empty and an optimum cannot be found, the LP is ____

A

infeasible

How well did you know this?
1
Not at all
2
3
4
5
Perfectly
12
Q

If the optimal is arbitrarily large, the LP is ____

A

unbounded

How well did you know this?
1
Not at all
2
3
4
5
Perfectly
13
Q

True / False : Whether an LP is feasible depends on the constraints and the objective function

A

False, feasibility only depends on the constraints

How well did you know this?
1
Not at all
2
3
4
5
Perfectly
14
Q

How do you determine the feasibility of an LP?

A

First check if any constraints are conflicting (e.g. if a constraint specifies that a single variable must be negative, but all of the variables have positivity constraints)

Then check if any of the intersection points are valid for the system of inequalities.

How well did you know this?
1
Not at all
2
3
4
5
Perfectly
15
Q

How do you determine if an LP is bounded?

A

Check the feasibility of the LP and its dual.

If the dual LP is infeasible, then the primal is either unbounded or infeasible.

How well did you know this?
1
Not at all
2
3
4
5
Perfectly
16
Q

Can an LP be unbounded and infeasible?

A

No, if there is no valid optimum then it cannot be arbitrarily large

17
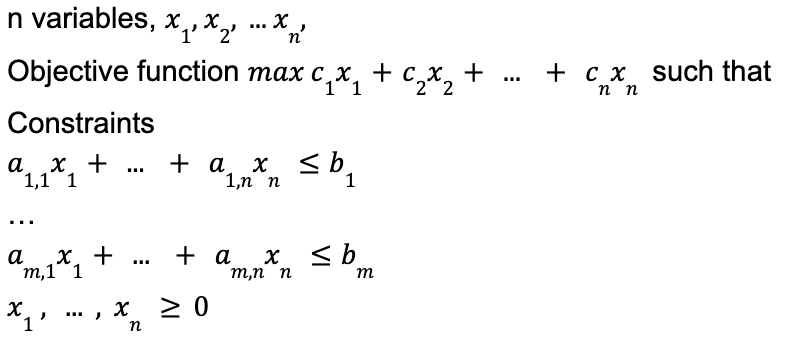
Q

What’s the standard form of a linear program?

18
Q

What’s the linear algebra view of a linear program?

19
Q

What are the polytime algorithms for solving linear programs?

A

Ellipsoid and Interior point

20
Q

What’s the popular algorithm for solving linear programs?

21
Q

How does the Simplex algorithm solve linear programs?

A
  • Start at x = 0
  • Look for neighboring vertex w/ higher objective value
  • Move there and repeat until no better neighbor found
22
Q

How do you convert a primal LP to its dual?

23
Q

If an LP has n variables and m constraints, how many variables and constraints will its dual have?

A

m variables
n constraints

24
Q

When converting a standard form primal LP to its dual, the objective function goes from a ___ to a ___

25
When converting a standard form primal LP to its dual, the 2D matrix of parameters on the left side of the constraints gets ____
transposed
26
When converting a standard form primal LP to its dual, the parameters to the variables in the objective function get ____ and swapped with the ____
transposed and swapped with the parameters on the right side of the constraints
27
When converting a standard form primal LP to its dual, the parameters on the right side of the constraints get ____ and swapped with the ____
transposed and swapped with the parameters to the variables in the objective function
28
When converting a standard form primal LP to its dual, the inequality symbol in the constraints goes from __ to __
<= to >=
29
True/False : When converting a standard form primal LP to its dual, the nonnegative constraint on the variables is flipped
No, the new variables still have a nonnegative constraint
30
If I have an LP with a variable with no nonnegative constraint, how do I convert it to one with a nonnegative constraint so it is in standard form?
Split the possibly negative variable x into two variables x_+ and x_-, and replace it with x_+ - x_-