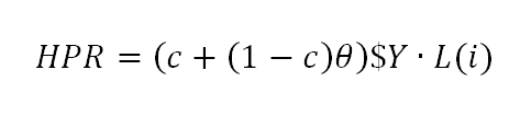
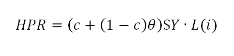
Demand for high powered money

Price of a bond

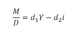
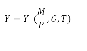
LM Curve equation

Wage Determination Function

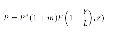
Price Determination Function

AS Curve Function

AD Curve Without Interest Rule

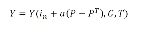
AD Curve with Interest Rule

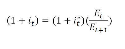
Interest Parity Condition

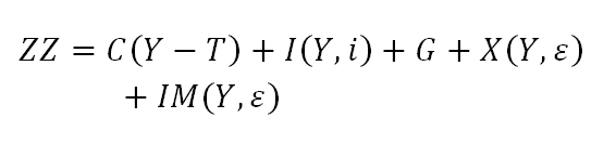
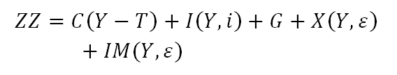
ZZ Model in Open Economy

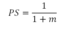
Marshal-Lemer Condition

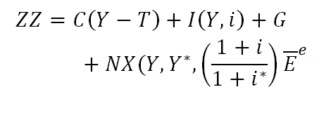
IS Curve in Open Economy
