Expectations Flashcards

(50 cards)

1
Q

What are expectations ??

A

Nearly all decisions people and firms make are based on their future income

How well did you know this?
1
Not at all
2
3
4
5
Perfectly
2
Q

What is expected present discounted value ?

A

The expected present discounted value of a sequence of payments, is the value today of the expected sequence of payments

How well did you know this?
1
Not at all
2
3
4
5
Perfectly
3
Q

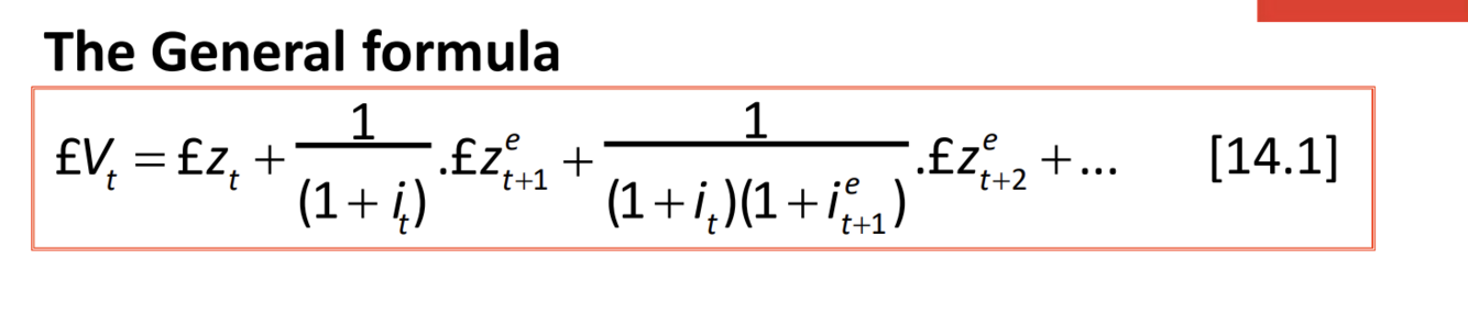
What is the equation to find the present discounted value

A
How well did you know this?
1
Not at all
2
3
4
5
Perfectly
4
Q

What are some implications of the PDV formula

A

-The expected present discounted value depends positively on todays actual payment and expected payments
-The expected present value depends negatively on current and expected future rates

How well did you know this?
1
Not at all
2
3
4
5
Perfectly
5
Q

Why would you choose to hold bods over money ??

A

Because bonds pay interest

How well did you know this?
1
Not at all
2
3
4
5
Perfectly
6
Q

How are bond prices determined ?

A

In the bond market, the interest rate on a bond can then be inferred from the price of the bond

How well did you know this?
1
Not at all
2
3
4
5
Perfectly
7
Q

What is the bond yield ??

A
How well did you know this?
1
Not at all
2
3
4
5
Perfectly
8
Q

If the bond has a higher price what does that mean for the interest rate ?

A

The higher the price the lower the interest rate

How well did you know this?
1
Not at all
2
3
4
5
Perfectly
9
Q

In what 2 ways do bonds differ ?

A

-Default risk
-Maturity

How well did you know this?
1
Not at all
2
3
4
5
Perfectly
10
Q

What is default risk when it comes to bonds ?

A

The risk that the borrower will not pay back the full amount promised by the bond

How well did you know this?
1
Not at all
2
3
4
5
Perfectly
11
Q

What is the maturity of a bond ?

A

This is the length of time which it promises to make payments to the holder of the bond

How well did you know this?
1
Not at all
2
3
4
5
Perfectly
12
Q

What determines long or short term maturity

A

-Bonds maturing in less than 1 year are short term bonds
-Bonds maturing in more than one year are long term

How well did you know this?
1
Not at all
2
3
4
5
Perfectly
13
Q

What is the bonds yield to maturity ?

A

A bond’s yield to maturity is the constant interest rate that makes the p.d.v. of future payments on the bond equal to the price of the
bond today.

How well did you know this?
1
Not at all
2
3
4
5
Perfectly
14
Q

What is the equilibrium condition when comparing bonds

A

This requires both strategies provide the same expected return

How well did you know this?
1
Not at all
2
3
4
5
Perfectly
15
Q

When comparing bonds, what is the notation of these parts of the equation ?

A
How well did you know this?
1
Not at all
2
3
4
5
Perfectly
16
Q

Who developed the modern theory of consumption ?

A

Milton friedman in the 1950s who called it the permanent income theory of consumption, and by Franco Modigliani who called it the cycle theory of consumption

How well did you know this?
1
Not at all
2
3
4
5
Perfectly
17
Q

What does Friedmans permanent income emphasise ?

A

That consumers will look beyond current income

How well did you know this?
1
Not at all
2
3
4
5
Perfectly
18
Q

What does Modigliani’s life cycle emphasise ?

A

That consumers natural planning horizon is their entire lifetime

How well did you know this?
1
Not at all
2
3
4
5
Perfectly
19
Q

consumption theory and the role of expectations, what is the relationship ??

A

If consumers are forward-looking and resources can be transferred across time through borrowing and lending, then consumption should depend on wealth, rather than on current disposable income.

How well did you know this?
1
Not at all
2
3
4
5
Perfectly
20
Q

When looking at wealth in a macro economic sense, what does it mean ?

A

The present value of labour income, financial wealth and housing wealth

How well did you know this?
1
Not at all
2
3
4
5
Perfectly
21
Q

What is a persons total wealth ??

A

Human wealth + financial wealth + housing wealth

22
Q

What is a persons human wealth ?

A

The present value of expected future labour income

23
Q

What is a persons financial wealth ??

A

Contents of bank accounts, savings accounts and value of bonds and stocks

24
Q

What is a persons housing wealth ?

A

Value of house - value of remaining mortgage debt

25
How could a very foresighted consumer decide how much to consume ?
1. calculate total wealth 2. Decide to spend a proportion of total wealth each year throughout his life, borrowing if Ct > Yt and saving if Ct
26
What is gross capital formation ?
This is defined as resident producers' outlays on additions to the capital assets of the economy plus net changes in the level of inventory
27
What are some additions to capital assets ?
New buildings, vehicles, ships, aircraft and plant and machinery, construction and improvements of infrastructure
28
Why does investment matter on the demand side ??
-On the demand side, investment is very volatile. -Investment spending is a primary link through which financial markets, interest rates and therefore monetary policy, affect the economy. -Tax policies affecting investment are an important element of Fiscal policy.
29
Why does investment matter on the supply side ??
Long run growth is related to the size of the capital stock, which is just cumulated past investments with depreciation taken into account
30
In macro 2 what did investment primarily depend on ?
31
What happens to investment when there is a rise in sales ?
In order to increase production, firms may need to buy new machines, which means investment increases.
31
What calculation would be done when looking to purchase a new machine or build a new plant
The expected present value of profit -If this exceeds the cost, then they will invest
31
What do investment decisions depend upon ??
They not only depend on current sales, and the current real interest rate, but also on expectations of the future
32
What is the notation of the parts of this equation ?
33
What does this equation mean in words ?
34
What does this equation mean in words ?
Investment depends on both the expected present value of future profits and on the current level of profit
35
Will firms have a strong desire to borrow when profit is low ?
The answer is no as they will be unsure about the future even if expected to do well Even firms that are looking to invest, they may have difficulty borrowing. Potential lenders may not be convinced that projects are as good as the firm says
36
Whats the equation for profit per unit of capital ?
Primarily depends on 2 factors: -The level of sales -The level of stock The equation is saying that expected future profit depends on expected sales and expected future capital stock
37
How do you find the financial value of a firm ?
Its stock market value + Value of bonds outstanding
38
What does the financial value of a firm measure ?
The value financial investors place on capital (plant and equipment) that is already in place
39
When should firm invest ?
When the financial value of a unit their capital exceeds the cost of an additional unit of capital I.e. when q > 1
40
What does q =. ???
This implies a positive relationship between aggregate investment and tobins q
41
Explain Tobin's q
Numerator: Can be represented by the stock market value, which depends on current and expected future profits Denominator: The actual cost to replace the firm's existing capital goods at the item the stock was issues
42
What should a firm do when q > 1 ??
Firms should buy more capital to raise the market value of their firms
43
What should a firm do when q < 1 ??
Firms do not replace capital as it wears out
44
What would happen to investment if there was a wave of pessimism about future profitability of capital ??
-cause stock prices to fall; cause -Tobin’s q to fall; -reducing investment, so causing a negative demand shock.
45
What would happen if there was a fall in stock prices ?
-Household wealth would reduce -Shift the consumption function down -Cause a negative demand shock
46
What is the similarities between our treatment of consumption and of investment behaviour ??
-Whether consumers perceive current movements in income to be transitory or permanent affects their consumption decisions. -In the same way, whether firms perceive current movements in sales to be transitory or permanent affects their investment decisions.
47
What are the important differences between consumption decisions and investment decisions ?
-When faced with an increase in income that consumers perceiveas permanent, they respond with at most an equal increase inconsumption. -When firms are faced with an increase in sales they believe to bepermanent, the present value of their expected profits increases, leading to an increase in investment, unless they already havespare capacity
48
The volatility of consumption and investment, the 3 main conclusions ??
-Consumption and investment move together -Investment is much more volatile than consumption -Because, however, the level of investment is much smaller than the level of consumption, changes in investment from one year to the next end up being of a similar magnitude on average as changes in consumption