expected value Flashcards

(20 cards)

1
Q

Example 1. Suppose we have a six-sided die marked with five 5 3’s and one 6. (This was the red one from our non-transitive dice.) What would you expect the average of 6000 rolls to be?

A

If we knew the value of each roll, we could compute the average by summing the 6000 values and dividing by 6000. Without knowing the values, we can compute the expected average as follows.
Since there are five 3’s and one six we expect roughly 5/6 of the rolls will give 3 and 1/6 will give 6. Assuming this to be exactly true, we have the following table of values and counts (see fig)

We consider this the expected average in the sense that we ‘expect’ each of the possible values to occur with the given frequencies.

How well did you know this?
1
Not at all
2
3
4
5
Perfectly
2
Q

Example 2: We roll two standard 6-sided dice. You win $1000 if the sum is 2 and lose $100 otherwise. How much do you expect to win on average per trial?

A
How well did you know this?
1
Not at all
2
3
4
5
Perfectly
3
Q

definition of expected value

A
How well did you know this?
1
Not at all
2
3
4
5
Perfectly
4
Q

Notes on the expected value

A
  1. The expected value is also called the mean or average of 𝑋 and often denoted by 𝜇 (“mu”).
  2. The expected value need not be a possible value of the random variable. Rather it is a weighted average of the possible values.
  3. Expected value is a summary statistic, providing a measure of the location or central tendency of a random variable.
  4. If all the values are equally probable then the expected value is just the usual average of the values.
How well did you know this?
1
Not at all
2
3
4
5
Perfectly
5
Q
A
How well did you know this?
1
Not at all
2
3
4
5
Perfectly
6
Q
A
How well did you know this?
1
Not at all
2
3
4
5
Perfectly
7
Q

mean and center of mass

A
How well did you know this?
1
Not at all
2
3
4
5
Perfectly
8
Q
A

The expected value is the point at which the distribution would balance

How well did you know this?
1
Not at all
2
3
4
5
Perfectly
9
Q

algebraic properties of E[X]

A
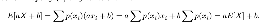
  1. If 𝑋 and 𝑌 are random variables on a sample space Ω then
    𝐸[𝑋 + 𝑌 ] = 𝐸[𝑋] + 𝐸[𝑌 ]
  2. If 𝑎 and 𝑏 are constants then
    𝐸[𝑎𝑋 + 𝑏] = 𝑎𝐸[𝑋] + 𝑏.

We will think of 𝑎𝑋 + 𝑏 as scaling 𝑋 by 𝑎 and shifting it by 𝑏.

E[X] is linear

How well did you know this?
1
Not at all
2
3
4
5
Perfectly
10
Q

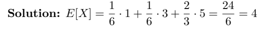
Roll two dice and let 𝑋 be the sum. Find 𝐸[𝑋].

A
How well did you know this?
1
Not at all
2
3
4
5
Perfectly
11
Q

Let 𝑋 ∼ binomial(𝑛, 𝑝). Find 𝐸[𝑋]

A
How well did you know this?
1
Not at all
2
3
4
5
Perfectly
12
Q
A
How well did you know this?
1
Not at all
2
3
4
5
Perfectly
13
Q

Mean of a geometric distribution

A
How well did you know this?
1
Not at all
2
3
4
5
Perfectly
14
Q

Flip a fair coin until you get heads for the first time. What is the expected number of times you flipped tails?

A
How well did you know this?
1
Not at all
2
3
4
5
Perfectly
15
Q

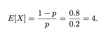
Michael Jordan, perhaps the greatest basketball player ever, made 80% of his free throws. In a game what is the expected number he would make before his first miss.

A

Here is an example where we want the number of successes before the first failure. Using the neutral language of heads and tails: success is tails (probability 1 − 𝑝) and failure is heads (probability = 𝑝). Therefore 𝑝 = 0.2 and the number of tails (made
free throws) before the first heads (missed free throw) is modeled by a 𝑋 ∼ geo(0.2). We saw in Example 9 that this is

How well did you know this?
1
Not at all
2
3
4
5
Perfectly
16
Q

change of variables formula

17
Q
A

using R code,

19
Q

prove that for random variables 𝑋 and 𝑌 on a sample space Ω: 𝐸[𝑋 + 𝑌 ] = 𝐸[𝑋] + 𝐸[𝑌 ]

20
Q

prove that for constants 𝑎, 𝑏 and random variable 𝑋: 𝐸[𝑎𝑋 + 𝑏] = 𝑎𝐸[𝑋] + 𝑏.