When multiplying two terms with exponents that have the same base, what do you do with the base and exponents?
You keep the base and add the exponents together.
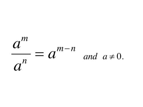
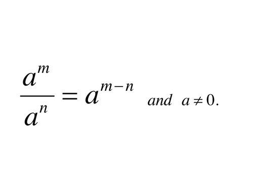
When dividing two terms with exponents that have the same base, what do you do with the base and exponents?
You keep the base and subtract the exponents.
When raising a term with an exponent to a power, what do you do with the base and exponents?
You keep the base and multiply the exponents together.
When a term is raised to the zero power, what is always the result?
1
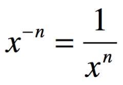
What is the rule for negative exponents?

What is the rule for rasing a power to a power?
What is the product rule of exponents?
What is the quotient rule of exponents?