Exponential Functions Flashcards

(8 cards)

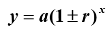
1
Q

In this exponential function, what does the a, r, and x represent?

A

a is the initial or starting value

r is the rate of growth (+) or decay (-)

x is the number of times the growth or decay rate has been applied (usually the number of hours, days, or years gone by)

How well did you know this?
1
Not at all
2
3
4
5
Perfectly
2
Q

Is this growth or decay? How do you know?

A

Growth because 0.03 is being added to 1.

Therefore it is growing by 3%

How well did you know this?
1
Not at all
2
3
4
5
Perfectly
3
Q

Is this growth or decay? How do you know?

A

Decay because 0.08 is being subtracted from 1.

Therefore it is decaying by 8%

How well did you know this?
1
Not at all
2
3
4
5
Perfectly
4
Q

Is this growth or decay? How do you know?

A

Growth because 0.27 must have been added to 1 in order to get 1.27.

Therefore it is growing by 27%

How well did you know this?
1
Not at all
2
3
4
5
Perfectly
5
Q

Is this growth or decay? How do you know?

A

Decay because 0.35 must have been subtracted from 1 in order to get 0.65.

Therefore it is decaying by 35%

How well did you know this?
1
Not at all
2
3
4
5
Perfectly
6
Q

Is this growth or decay? How do you know?

A

Growth because if you read the graph from left to right, it is going up.

How well did you know this?
1
Not at all
2
3
4
5
Perfectly
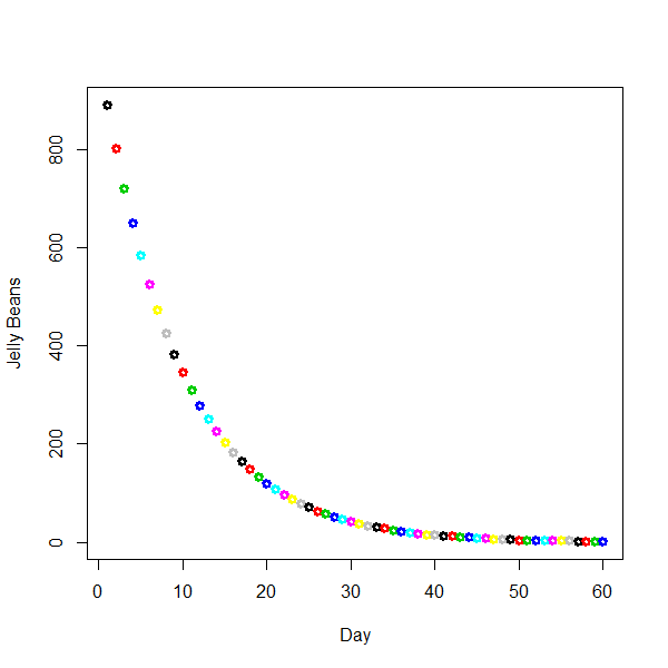
7
Q

Is this growth or decay? How do you know?

A

Decay because if you read the graph from left to right, it is going down.

How well did you know this?
1
Not at all
2
3
4
5
Perfectly
8
Q

How do you find the horizontal asymptote of an exponential function?

A

1) Graph the function (y=)
2) Adjust the window so you can see the shape of the graph.
3) Press trace
4) Press the left or right arrow repeatedly until the y value settles on a number. That y-value is the asymptote.

Write an equation for a horizontal asymptote in the form: y= ____

How well did you know this?
1
Not at all
2
3
4
5
Perfectly