Expressions & Equations Flashcards

(12 cards)

1
Q

What is a solution to an equation?

A

The value of the variable that makes the equation true

How well did you know this?
1
Not at all
2
3
4
5
Perfectly
2
Q

What is a true equation?

A

An equation with the same amount on both sides of the equals sign

How well did you know this?
1
Not at all
2
3
4
5
Perfectly
3
Q

What is a false equation?

A

An equation with different values on either side of the equals sign

How well did you know this?
1
Not at all
2
3
4
5
Perfectly
4
Q

How do you check if your solution is correct?

A

Substitute your solution into the original equation. If it makes the equation true, your solution is correct.

How well did you know this?
1
Not at all
2
3
4
5
Perfectly
5
Q

What does substitute mean?

A

To replace the variable with a value you believe is equal to it

How well did you know this?
1
Not at all
2
3
4
5
Perfectly
6
Q

what is the vocab word for the 3 in the image below?

A

Coefficient

How well did you know this?
1
Not at all
2
3
4
5
Perfectly
7
Q

what is the vocab word for the x in the image below?

A

variable

How well did you know this?
1
Not at all
2
3
4
5
Perfectly
8
Q

what is the vocab word for the 1 in the image below?

A

constant

How well did you know this?
1
Not at all
2
3
4
5
Perfectly
9
Q

what is the vocab word for 3x+1 in the image below?

A

expression

How well did you know this?
1
Not at all
2
3
4
5
Perfectly
10
Q

what is the vocab word for 3x+1=7 in the image below?

A

equation

How well did you know this?
1
Not at all
2
3
4
5
Perfectly
11
Q

What idea from your greensheet is shown in this work?

A

Distribution

How well did you know this?
1
Not at all
2
3
4
5
Perfectly
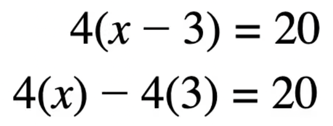
12
Q

What idea from your greensheet is shown in this work?

A

Combining like terms

How well did you know this?
1
Not at all
2
3
4
5
Perfectly