Final Exam Flashcards

(52 cards)

1
Q

Ordinary differential equation (ODE)

A

unknown function x has one independent variable t. Equation relates x and its derivatives to values of t.

How well did you know this?
1
Not at all
2
3
4
5
Perfectly
2
Q

First order linear ODE

A
How well did you know this?
1
Not at all
2
3
4
5
Perfectly
3
Q

How to solve?

A

integrate both sides n-times, will have n arbitrary constants

How well did you know this?
1
Not at all
2
3
4
5
Perfectly
4
Q

How to solve?

A

separation of variables

How well did you know this?
1
Not at all
2
3
4
5
Perfectly
5
Q

How to solve?

A

first-order linear ODE (not separable)

How well did you know this?
1
Not at all
2
3
4
5
Perfectly
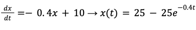
6
Q

Example: Assume that a drug is absorbed by the body at a rate proportional to the amount of the drug present in the bloodstream at time 𝑡. Let’s write 𝑥(𝑡) for the mg of drug present in the bloodstream at time 𝑡.

Find an ODE for which 𝑥(𝑡) is a solution, assuming that the drug is absorbed at a rate of 0.4𝑥(𝑡) per hour and that the patient is simultaneously receiving the drug intravenously at the constant rate of 10 mg/hour:

A
How well did you know this?
1
Not at all
2
3
4
5
Perfectly
7
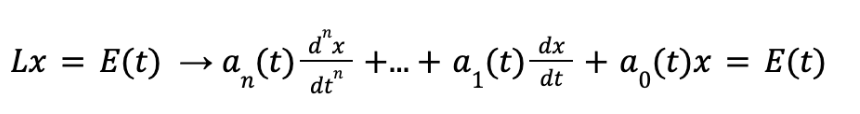
Q

N-th order ODE is linear

A

functions in front of the derivatives only depend on t

How well did you know this?
1
Not at all
2
3
4
5
Perfectly
8
Q

N-th order ODE is HOMOGENOUS

A

E(t) = 0

How well did you know this?
1
Not at all
2
3
4
5
Perfectly
9
Q

N-th order ODE is NORMAL

A

leading coefficient not equal 0

continuous coefficients

How well did you know this?
1
Not at all
2
3
4
5
Perfectly
10
Q

General solution to a linear ODE

A

x = p(t) + H(t)

How well did you know this?
1
Not at all
2
3
4
5
Perfectly
11
Q

What is the Existence & uniqueness theorem for ODEs, applies to initial value problems

A
How well did you know this?
1
Not at all
2
3
4
5
Perfectly
12
Q

Operator

A
How well did you know this?
1
Not at all
2
3
4
5
Perfectly
13
Q

What does it mean that linear differential operators are linear?

A
  1. L[x1 + x2] = Lx1 + Lx2
  2. L[kx] = k Lx
How well did you know this?
1
Not at all
2
3
4
5
Perfectly
14
Q

Cramer’s rule to solve Bx = A

A

Replace the ith column of B with the vector A, take determinant.

How well did you know this?
1
Not at all
2
3
4
5
Perfectly
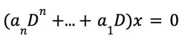
15
Q

Linear combination of homogenous solution L[x] = 0

A

Also a homogenous solution: L[c1h1(t) + c2h2(t)] = 0

If you found n linearly independent solutions to a n’th order ode, then any other solution can be written as a linear combination of those

How well did you know this?
1
Not at all
2
3
4
5
Perfectly
16
Q

Existence & uniqueness theorem for nth order linear ODEs

A

If you have n initial conditions, then x = x(t) has a UNIQUE solution for a fixed value t0.

How well did you know this?
1
Not at all
2
3
4
5
Perfectly
17
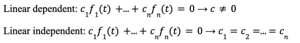
Q

Linearly dependent vs independent

A
How well did you know this?
1
Not at all
2
3
4
5
Perfectly
18
Q

Wornskian test for linear independence:

A
How well did you know this?
1
Not at all
2
3
4
5
Perfectly
19
Q

Theorem: Wronskian for solutions, non-vanishing never vanishing:

A
How well did you know this?
1
Not at all
2
3
4
5
Perfectly
20
Q

Exponential shift formula

A
How well did you know this?
1
Not at all
2
3
4
5
Perfectly
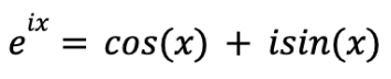
21
Q

Euler’s formula

22
Q

How to solve a homogeneous linear equation with constant coefficients:

23
Q

Find a particular solution p(t) to linear ODE, P(D)x = E(t)

24
Q

Find equivalent system of ODEs in matrix form: Dx = Ax + E

25
26
Eigenvector
(A – λI)x = 0 Av = λv
27
Eigenvalue
det(A – λI) ≠ 0
28
What is the solution to Dx = Ax if λ is an eigenvalue of A with corresponding eigenvector v.
29
If A is an (n x n) matrix with n distinct eigenvalues
The eigenvectors must be linearly INDEPENDENT
30
How to easily check if vectors are linearly independent?
Make a matrix constructed of column vectors. The vectors are linearly independent if det ≠ 0
31
When solving non-homogenous matrix equations via row operations & row reduction
variables – # equation = # free variables
32
Homogeneous linear system
Ax = 0
33
Homogeneous linear system (Dx = Ax) constant coeff, COMPLEX ROOTS. How to solve?
34
If square matrix A has eigenvalue with multiplicity d>1, d is the max # linearly independent-eigenvectors
Less than d eigenvectors cannot describe general solution
35
Generalised eigenvector
36
How to find the solution to Dx = Ax associated with a generalized eigenvector
37
38
Find general solution to Dx = Ax + E, VARIATION OF PARAMETERS
39
How to draw phase diagrams?
1. Plot eigenvectors (lines) 2. Add directions (λ>0 arrow away from origin)
40
Partial fraction decomposition
41
Rewrite the function 𝑓(𝑡) using the unit step functions
42
Integral curve vs. phase portraits:
Integral curves: solutions to linear system Dx=Ax Phase portraits: all integral curves together with arrows for direction
43
Characterizing phase portraits using eigenvalues: 2 real eigenvalues (OPPOSITE SIGN) with corresponding eigenvectors v, w
two lines through the origin determined by v,w. Every other curve asymptotic to line corresponding to the smaller λ as t → –∞, and to line corresponding to the larger to the larger λ as t → ∞.
44
Characterizing phase portraits using eigenvalues: 2 real eigenvalues (SAME SIGN) with corresponding eigenvectors v, w
curves have slopes approaching the slopes of these lines
45
Characterizing phase portraits using eigenvalues: 1 real eigenvalue with corresponding eigenvector v
(multiplicity 2) 2 linearly independent eigenvectors: curves are radial lines through the origin 1 eigenvector: slopes approaching the slope of this line as t→ + or –∞
46
Characterizing phase portraits using eigenvalues: complex eigenvalues
47
Autonomous system
48
Equilibrium
constant solution of the form x(t) = c Equilibria occur at points c where the derivatives of the coordinates vanish: dx/dt(a,b) = dy/dt(a,b) = 0
49
Properties of equilibrium: Eigenvalues of A have NEGATIVE real part
c is an attractor (stable)
50
Properties of equilibrium: Eigenvalues of A have POSITIVE real part
c is a repeller (unstable)
51
Properties of equilibrium: Eigenvalues with real parts of opposite sign, zero, or purely imaginary
c is neither attractor or repeller (unstable)
52
Linearisation matrix