Final - Hypothesis Testing Flashcards

(14 cards)

1
Q

Which distribution table is used to analyze one population mean, if the population variance is known?

A

Z-table

How well did you know this?
1
Not at all
2
3
4
5
Perfectly
2
Q

Which distribution table is used to analyze one population mean, if the population variance is unknown?

A

t-table

How well did you know this?
1
Not at all
2
3
4
5
Perfectly
3
Q

Which distribution table is used to analyze a population of differences?

A

t-table

How well did you know this?
1
Not at all
2
3
4
5
Perfectly
4
Q

Which distribution table is used to analyze the ratio of two population variances?

A

F-table

How well did you know this?
1
Not at all
2
3
4
5
Perfectly
5
Q

Which distribution table is used to analyze two population means with two known population variances?

A

Z-table

How well did you know this?
1
Not at all
2
3
4
5
Perfectly
6
Q

Which distribution table is used to analyze two population means with two unknown population variances that are assumed to be equal?

A

t-table

How well did you know this?
1
Not at all
2
3
4
5
Perfectly
7
Q

Which distribution table is used to analyze two population means with two unknown population variances that are NOT assumed to be equal? What is particular about this hypothesis testing?

A
  • t-table - Must calculate the effective degrees of freedom
How well did you know this?
1
Not at all
2
3
4
5
Perfectly
8
Q

Which distribution table is used to analyze a linear correlation or regression?

A

t-table

How well did you know this?
1
Not at all
2
3
4
5
Perfectly
9
Q

Which distribution table is used to analyze population proportions?

A

Z-table

How well did you know this?
1
Not at all
2
3
4
5
Perfectly
10
Q

Which equation is used to determine the Zobs of one population mean, if the population variance is known?

A
How well did you know this?
1
Not at all
2
3
4
5
Perfectly
11
Q

Which equation is used to determine the tobs of one population mean, if the population variance is unknown?

A
How well did you know this?
1
Not at all
2
3
4
5
Perfectly
12
Q

Which equation is used to determine the tobs of a population of differences?

A
How well did you know this?
1
Not at all
2
3
4
5
Perfectly
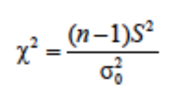
13
Q

Which equation is used to determine the X2obs of one population variance?

A
How well did you know this?
1
Not at all
2
3
4
5
Perfectly
14
Q

Which equation is used to determine the Fobs of a ratio of two population variances?

A
How well did you know this?
1
Not at all
2
3
4
5
Perfectly