Final KB Qs Module 4: Flotation Flashcards

(18 cards)

1
Q

Draw flotation cell and explain flotation in 3 points.

A
  1. Hydrophilic materials remain in suspension whereas hydrophobic minerals attach to air bubbles and enter the froth phase
  2. The hydrohilic gangue minerals are removed as the tailing fraction
  3. The mineralised froth overflows and is recovered as the concentrate
How well did you know this?
1
Not at all
2
3
4
5
Perfectly
2
Q

For multiple flotations in a row show how to find Cumulative recovery.

A
How well did you know this?
1
Not at all
2
3
4
5
Perfectly
3
Q

Give cumulative recovery vs time curve.

A
How well did you know this?
1
Not at all
2
3
4
5
Perfectly
4
Q

Give the assumed first-order reaction Recovery curve fomula.

A

R = Rmax * [1 – exp(-kt)]

Rmax which is the maximum theoretical flotation recovery

How well did you know this?
1
Not at all
2
3
4
5
Perfectly
5
Q

What is entrainment?

A

Non-selective recovery of particles in water recovered to float product. Water recovered because:
- Flow patterns in mixed/mechanical cells

  • in pulp zone carried in water layer and wake behind bubbles
  • pushed into froth (“bubble swarm effect”)
  • carried through froth in Plateau borders
How well did you know this?
1
Not at all
2
3
4
5
Perfectly
6
Q

What is entrapment?

A

Entrapment is when the particles are trapped between other particles in the froth – non selective

How well did you know this?
1
Not at all
2
3
4
5
Perfectly
7
Q

Draw recovery vs particles size for Strongly hydrophobic, Weakly hydrophobic, Entrained.

A
How well did you know this?
1
Not at all
2
3
4
5
Perfectly
8
Q

Name reagents that can be added to the slurry to enhance the separation.

A
  1. Collectors
  2. Frothers
  3. Activators
  4. Depressants
  5. pH modifiers
How well did you know this?
1
Not at all
2
3
4
5
Perfectly
8
Q

Explain Frothers purpose in 2 and how they do it.

A
  1. They preserve the small bubbles produced
  2. They enable a stable froth to be formed at the surface

Frothers adsorb onto the surface of the bubbles, modifying the surface properties

How well did you know this?
1
Not at all
2
3
4
5
Perfectly
9
Q

Draw the classic representation of contact angle and surface tension forces.

A
How well did you know this?
1
Not at all
2
3
4
5
Perfectly
10
Q

Explain Collectors what they do and how they do it in 2.

A

Collectors are added to selectively adsorb onto a mineral surface and increase the hydrophobicity

  1. Contains a polar “head” which is hydrophilic (Polar head attaches to the mineral surface)
  2. Non-polar hydrocarbon “tail” which is hydrophobic
How well did you know this?
1
Not at all
2
3
4
5
Perfectly
11
Q

Explain Activators what they do.

A

An activator adsorbs to the surface of a particle, and induces a high affinity to the collector.

How well did you know this?
1
Not at all
2
3
4
5
Perfectly
12
Q

Explain Depressants what they do.

A

Depressants adsorb to the surface of hydrophobic minerals in order to render the surfaces hydrophilic. Therefore, separation of two hydrophobic minerals is enhanced.

How well did you know this?
1
Not at all
2
3
4
5
Perfectly
13
Q

Explain pH modifiers what they do.

A

The pH is also a factor in the physical adsorption. Adsorption of cationic surfactants, and consequently
flotation is depressed as pH is increased, and vice versa. This affects the ability of the collector to do his job.

How well did you know this?
1
Not at all
2
3
4
5
Perfectly
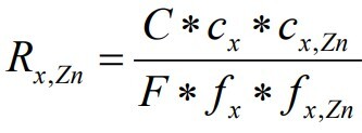
14
Q

Give the Size-by-size recovery formula.

A
How well did you know this?
1
Not at all
2
3
4
5
Perfectly
15
Q

For Hydrophobic particles give the 3 size regions and comment.

A

Medium: high recovery, good selectivity
Fine: low recovery since low collision probability
Coarse: low recovery since low attachment/high detachment probability

16
Q

What is the Collision efficiency formula?

17
Q

Draw the Steps in recovery Collison, attachment, stability (detachment)