Finding x-Intercepts Algebraically Flashcards

(3 cards)

1
Q

1st Step?

A

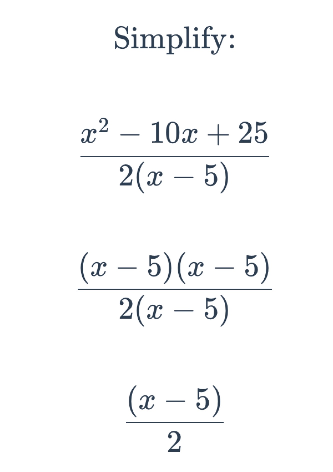
Simplify by factoring both numerator and denominator.

How well did you know this?
1
Not at all
2
3
4
5
Perfectly
2
Q

2nd Step?

A

Set the fraction to equal zero by putting “= 0” next to it. Then solve for X.

How well did you know this?
1
Not at all
2
3
4
5
Perfectly
3
Q

3rd Step?

A

Determine if x can actually be an x-inter.

If “x” is the SAME as the hole, then it is NOT possible! So then there would be no x-inter.

How well did you know this?
1
Not at all
2
3
4
5
Perfectly