Formeln Flashcards

(48 cards)

1
Q

FPY - First Pass Yield

A
How well did you know this?
1
Not at all
2
3
4
5
Perfectly
2
Q

Rolled Throughput Yield (RPY)

A

Zusammenhang: niedrige Qualitätsleistung eines Prozessschrittes zieht gesamte Qualität des Prozesses runter

How well did you know this?
1
Not at all
2
3
4
5
Perfectly
3
Q

Fehler pro Millionen Einheiten (FpME)

A
How well did you know this?
1
Not at all
2
3
4
5
Perfectly
4
Q

Fehler pro Millionen Möglichkeiten (FpMM)

A
How well did you know this?
1
Not at all
2
3
4
5
Perfectly
5
Q

Transformation zur Standardnormalverteilung

A
How well did you know this?
1
Not at all
2
3
4
5
Perfectly
6
Q

Prognosefehler

A
How well did you know this?
1
Not at all
2
3
4
5
Perfectly
7
Q

Absoluter Prognosefehler

A

et |

How well did you know this?
1
Not at all
2
3
4
5
Perfectly
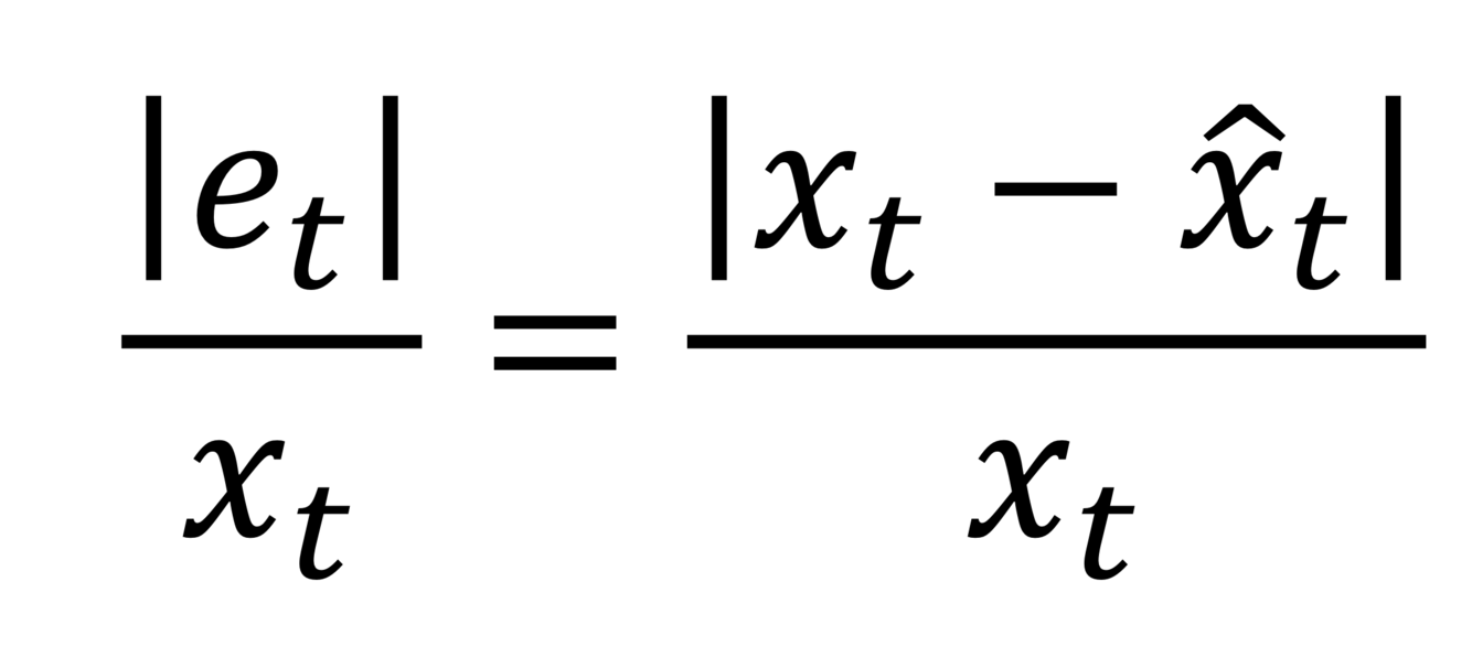
8
Q

Relativer absoluter Prognosefehler

A
How well did you know this?
1
Not at all
2
3
4
5
Perfectly
9
Q

Quadratischer Prognosefehler

A
How well did you know this?
1
Not at all
2
3
4
5
Perfectly
10
Q

Mittlere Abweichung (Mean Deviation): MDT

A
How well did you know this?
1
Not at all
2
3
4
5
Perfectly
11
Q

Mittlere absolute Abweichung: MADT

A
How well did you know this?
1
Not at all
2
3
4
5
Perfectly
12
Q

Streuung des Prognosefehlers: ∂eT

A
How well did you know this?
1
Not at all
2
3
4
5
Perfectly
13
Q

Gleitende Durchschnitte

A
How well did you know this?
1
Not at all
2
3
4
5
Perfectly
14
Q

Exponentielle Glättung

A
How well did you know this?
1
Not at all
2
3
4
5
Perfectly
15
Q

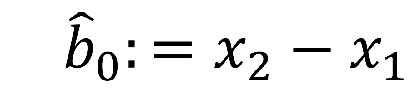
Initialisierung - Verfahren von Holt

b^0

A
How well did you know this?
1
Not at all
2
3
4
5
Perfectly
16
Q

Initialisierung - Verfahren von Holt

a^0

A
How well did you know this?
1
Not at all
2
3
4
5
Perfectly
17
Q

Verfahren von Holt - exp. Glättung 2. Ordnung

a^T

A
How well did you know this?
1
Not at all
2
3
4
5
Perfectly
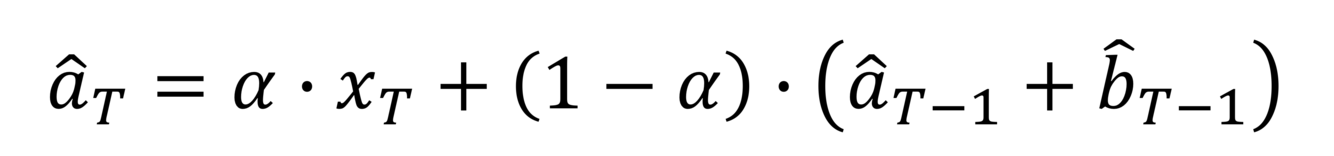
18
Q

Verfahren von Holt - exp. Glättung 2. Ordnung

b^T

A
How well did you know this?
1
Not at all
2
3
4
5
Perfectly
19
Q

Verfahren von Holt - exp. Glättung 2. Ordnung

Prognosegleichung → x^T+i

A
How well did you know this?
1
Not at all
2
3
4
5
Perfectly
20
Q

mengenminimale Produktionsprogramm

21
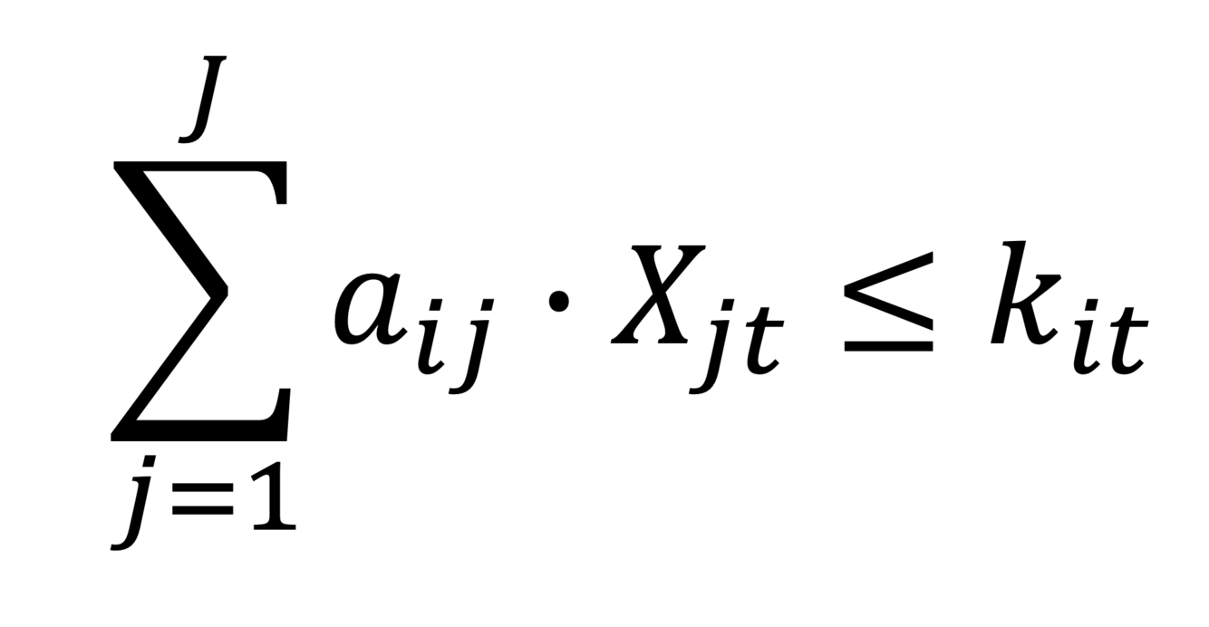
Q

Kapazitätsrestriktion

22
Q

Bedarfsrestriktion

23
Q

Mengenflussgleichung

24
Q

Lagerkostenminimale Produktionsprogramm

25
Lagerraumrestriktionen
26
Haltbarkeitsrestriktion
27
Deckungsbeitragsmaximale Hauptproduktionsprogramm
28
Losgrößenplanung mit **un**endlicher Produktionsgeschwindigkeit ## Footnote **mind. Kosten pro ZE**
29
Losgrößenplanung mit **un**endlicher Produktionsgeschwindigkeit ## Footnote **Optimales Losgröße**
30
Losgrößenplanung mit **un**endlicher Produktionsgeschwindigkeit ## Footnote **Kosten bei optimaler Wahl der Losgröße**
31
Losgrößenplanung mit **en**dlicher Produktionsgeschwindigkeit ## Footnote **mind. Kosten pro ZE**
32
Losgrößenplanung mit **en**dlicher Produktionsgeschwindigkeit ## Footnote **optimale Losgröße**
33
Losgrößenplanung mit **en**dlicher Produktionsgeschwindigkeit ## Footnote **Kosten mit optimaler Wahl der Losgröße**
34
Gesamte Pufferzeit
SA - FA
35
Freie Pufferzeit (FP)
min {FAj | j ∈ N} - FEi
36
Unabhängige Pufferzeit (UP)
max {0, min {FAj | j ∈ Ni } - max {SEh | h ∈ Vi } - ti }
37
Gesamtkosten nach Silver/Meal Heuristik
GK = t \* *u + c* \* Lagerbestand GK = Rüstkosten + Lagerkosten
38
Add - Verfahren
1. ci berechnen → Transportkosten für jeden Standort 2. ci + fi → Gesamtkosten für jeden Standort 3. k = min {ci + fi } → Standort *k* mit den niedrigsten Gesamtkosten bestimmen 4. F = ci + fi → neuer Zielfunktionswert 5. Neue Hilfsmatrix mit Kostenersparnissen + Standort k eröffnen bzw. aus der Matrix streichen 6. Wij = k - cij → Also K-Zeile minus alle Zeile **nur positive Werte aufschreiben** 7. Wi = j wij → Ersparnis für jeden Standort berechnen 8. Wi ≤ fi → Ersparnis mit Errichtungskosten vergleichen, wo Ersparnis kleiner als Errichtungskosten → Standort verbieten bzw. aus der Matrix streichen 9. Wi - fi → Gesamtersparnis berechnen 10. k = max { Wi - fi } → Standort mit höchsten Ersparnis bestimmen 11. F = Falt - max {Wi - fi } 12. Neue Hilfsmatrix mit Kostenersparnissen + Standort *k* eröffnen bzw. aus der Matrix streichen 13. Wij = Wij - k → Also alle Zeilen minus k -Zeile, **nur positive Werte aufschreiben _Hier andersherum_** 14. …..
39
Warehouse Location Problem **unkapazitierte** Zielfunktion
40
Warehouse Location Problem **unkapazitiert:** Nebenbedingung zur Standorterrichtung
41
Warehouse Location Problem **unkapazitiert:** Belieferung
42
Warehouse Location Problem **kapazitiert:** Standorterrichtung + Kapazitätsbeschränkung
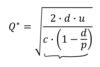
43
Optimale Bestellmenge - **Einperiodiges Modell - Newsvendor Modell**
44
Überbestandskosten Co
Co = c - v c = Einkaufspreis v = Rückgabepreis
45
Unterbestandskosten Cu
Cu = r - c r = Verkaufspreis c = Einkaufspreis
46
Berechnung S\* über Standardnormalverteilung
47
Schätzer für die Standardabweichung über die quadrierte Abweichung (quadrierter Prognosefehler)
48
Optimale Lösung - **Mehrperiodisches Modell**