Formula's Flashcards

(17 cards)

1
Q

Qu SPSU formula

State price up formula

A
How well did you know this?
1
Not at all
2
3
4
5
Perfectly
2
Q

Qd SPSD formula

State price down formula

A
How well did you know this?
1
Not at all
2
3
4
5
Perfectly
3
Q

Risk neutral state price formula (up scenario)

A
How well did you know this?
1
Not at all
2
3
4
5
Perfectly
4
Q

Risk neutral state price down scenario

A
How well did you know this?
1
Not at all
2
3
4
5
Perfectly
5
Q

Put call parity formula

A
How well did you know this?
1
Not at all
2
3
4
5
Perfectly
6
Q

If up/down state then stock moves with formula

A
How well did you know this?
1
Not at all
2
3
4
5
Perfectly
7
Q

Bond price movement regardless of state

Formula

A
How well did you know this?
1
Not at all
2
3
4
5
Perfectly
8
Q

Formula of a sub period

A

Delta T = always in terms of years
0.5 month = 24 periods

How well did you know this?
1
Not at all
2
3
4
5
Perfectly
9
Q

VaR (delta normal) formula

A
How well did you know this?
1
Not at all
2
3
4
5
Perfectly
10
Q

Variance formula in excel (matrix)

A

Portfolio variance: weight transposed * variance covariance matrix * weight vector.

How well did you know this?
1
Not at all
2
3
4
5
Perfectly
11
Q

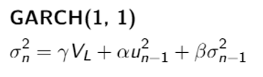
What is the formula of Generalized Autoregressive Conditional Heteroskedasticity (GARCH)

A

Multiply gamma with long term variance + alpha * pervios return^2 + beta * Previous variance

How well did you know this?
1
Not at all
2
3
4
5
Perfectly
12
Q

What is the formula of Computing exponentially weighted moving average volatility (EWMNA)

A
How well did you know this?
1
Not at all
2
3
4
5
Perfectly
13
Q

How do you calculate the Z’s and asset returns for monti carlo simulation

A

=$correlation$Z1+SQRT(1-$correlation$^2)Z2
The stronger the correlation, the more closly the movements of the second asset will follow the first asset. And this is + second assets will be scaled by the square root of 1 - correlation^2

How well did you know this?
1
Not at all
2
3
4
5
Perfectly
14
Q

Formula for Expected shortfall:
=AVERAGEIF(results,”>=”&%var)
or
=AVERAGEIF(results,”<=”&%var)

A

=AVERAGEIF(M60:M159,”<=”&P60)

How well did you know this?
1
Not at all
2
3
4
5
Perfectly
15
Q

We can simulate stock price paths from the ”risk-neutral world” by drawing random numbers Z from a standard normal distribution:

A

Mu is replaced by RF

How well did you know this?
1
Not at all
2
3
4
5
Perfectly
16
Q

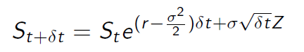
How can We can simulate stock price paths from the ”real world” by drawing random numbers Z from a standard normal distribution:

17
Q

How do we discount at the end of the simulation?

Lecture 6??

A

call Payoff/exp(rf* T ,0)