Formula sheet Flashcards

(100 cards)

1
Q

What is F-stat?

A

Mean squared residuals over mean squared errors. Fors MSR divide by number of variables (k) for MSE divide by N-K-1

How well did you know this?
1
Not at all
2
3
4
5
Perfectly
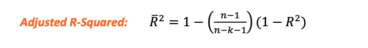
2
Q

Formula for adjusted R^2?

A
How well did you know this?
1
Not at all
2
3
4
5
Perfectly
3
Q

BP test: if no CH R^2 will be what? What is the null hypothesis? What is the test statistic formula? What is the DF, what do you compare test statistic to and if reject null then?

A
How well did you know this?
1
Not at all
2
3
4
5
Perfectly
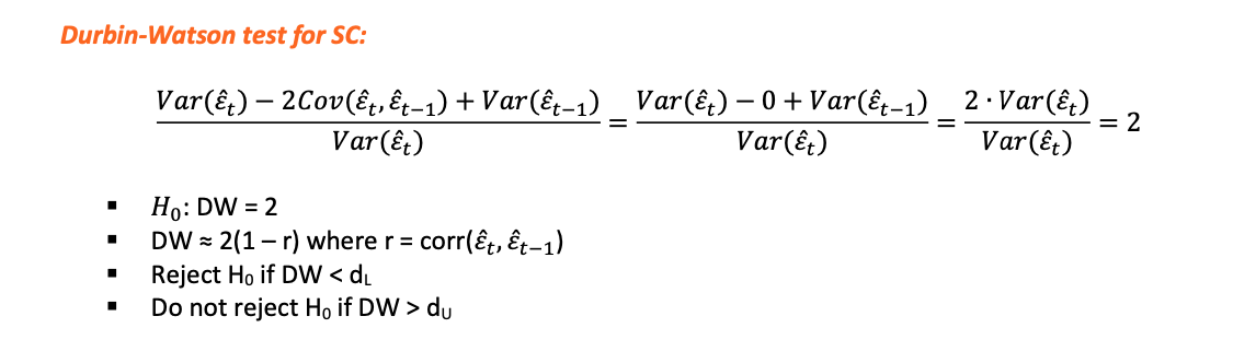
4
Q

DW test: Null hypothesis, ts formula, rejection criteria

A
How well did you know this?
1
Not at all
2
3
4
5
Perfectly
5
Q

What does a linear and log-linear model look like?
If SC then DW = ? and SE are….?

A
How well did you know this?
1
Not at all
2
3
4
5
Perfectly
6
Q

What is an AR1,2 and p model?
What does covariance stationary mean? What if b1 <1? What to do if no mean reverting level and what are the the effects of doing this?

A
How well did you know this?
1
Not at all
2
3
4
5
Perfectly
7
Q

Formula for MR level and RMSE?
Random walk when b0 =? and b1=?
What is the test for a RW?

A
How well did you know this?
1
Not at all
2
3
4
5
Perfectly
8
Q

Form of an arch modeL, test of an arch model what if reject ?

A
How well did you know this?
1
Not at all
2
3
4
5
Perfectly
9
Q

What is engle-granger DF test? The null and alternative and what if reject null?
For when when IV and DV are TS what are the scenarios in which results are ok?

A
How well did you know this?
1
Not at all
2
3
4
5
Perfectly
10
Q

Formula for precision, recall, Accuracy and F1 score and RMSE?

A
How well did you know this?
1
Not at all
2
3
4
5
Perfectly
11
Q

What is the forward rate under CIRP and why does it hold?

A
How well did you know this?
1
Not at all
2
3
4
5
Perfectly
12
Q

What UIRP and forward rate parity?

A
How well did you know this?
1
Not at all
2
3
4
5
Perfectly
13
Q

What is purchasing power parity relative and ex-ante?
What is the international fisher effect?

A
How well did you know this?
1
Not at all
2
3
4
5
Perfectly
14
Q

Equation aggregate price of equities and what differs between long and short run?

A
How well did you know this?
1
Not at all
2
3
4
5
Perfectly
15
Q

What is the cobb-douglas production function and what is capital deepening and technological process?

A
How well did you know this?
1
Not at all
2
3
4
5
Perfectly
16
Q

What is the growth accounting equation?

A
How well did you know this?
1
Not at all
2
3
4
5
Perfectly
17
Q

What is the labour productivity growth equation and the balanced or steady state growth rate of output and output per capita

A

Theta = growth rate of technological process

How well did you know this?
1
Not at all
2
3
4
5
Perfectly
18
Q

What is the current, quick, cash and defensive interval ratio?

A
How well did you know this?
1
Not at all
2
3
4
5
Perfectly
19
Q

Working capital turnover, fixed asset turnover, total asset turnover, Gross profit margin, operating profit margin, EBT margin, net profit margin and operating ROA?

A
How well did you know this?
1
Not at all
2
3
4
5
Perfectly
19
Q

Recievables turnover, DSO, Inventory turnover, DOH, Payables turnover, Number of days payable and cash conversion cycle?

A
How well did you know this?
1
Not at all
2
3
4
5
Perfectly
20
Q

ROA, ROE, ROTC, ROCE, tax burden, interest burden, ebit margin,

A
How well did you know this?
1
Not at all
2
3
4
5
Perfectly
21
Q

Financial leverage , total debt, debt to asset , D/E, D/C, interest coverage ratio, fixed charge ratio

A
How well did you know this?
1
Not at all
2
3
4
5
Perfectly
22
Q

DPR, retention rate, sustainable growth rate, earnings per share, book value per share, FCFE, FCFF

A

Free cash flow to the firm (FCFF) = Cash flow from operating activities + Interest expense x1 - Tax rate -
Investment in tixed capital (Interest expense should be added back only it it was subtracted in determining
cash low trom operating activities. Ihis may not be the case tor companies electing an alternative
treatment under frs.

How well did you know this?
1
Not at all
2
3
4
5
Perfectly
23
Q

Inter-corporate investments what is the equity method?

A
How well did you know this?
1
Not at all
2
3
4
5
Perfectly
24
Acquisition method: Partial goodwill vs full goodwill, NCI full vs partial and impairment IFRS vs GAAP?
Goodwill Impairment: GAAP FV of reporting unit- net assets = implied Goodwill (Current carrying value of goodwill - Implied Goodwill =Impairment Loss)
25
What is NCI under full goodwill and partial, and goodwill impairment under IFRS
26
What is GW impairment under GAAP and what is funded status?
27
IFRS: component (service costs, net interest income/expense, remeasurements: net return on plan assets and actuarial gains and losses) and how is it recognised (formula)?
28
US GAAP component: Current service costs, past service costs, interest expense on pension obligation, expected return on plan assets, actuarial gains and losses including differences between the actual and expected returns on plan assets. How are each recognised under GAAP (formula)?
29
Periodic pension cost formula, annual payment in retirement formula, Value at retirement formula
30
What are the actuarial assumptions and what is the interest expense formula and service cost per year formula?
31
Formula for retained earnings in functional currency to presentation currency, formula for ending retained earnings in FC to PC
32
If foreign subsidiary functional currency is a foreign currency (different to parent presentation currency) then what is the translation method and what rate is used for Assets, Liabilities, Equity, Revenues and expenses? Then what is foreign subsidiary functional currency is the same as parent presentation currency?
33
If foreign currency strengthens relative to parent company presentation what happens to revenues, assets, liabilities , net income, shareholders equity translation loss if there is a net liability exposure and the temporal method is used? What happens to all if net asset exposure? What happens if current rate method? What happens to each of above under each scenario when foreign currency weakens?
34
What are the capital adequacy ratio requirements for common equity tier 1 capital/risk-weighted assets? Tier 1 capital / risk-weighted assets? Total capital/ risk weighted assets?
35
What is loss and loss adjustment expense ratio? Underwriting expense ratio? Combined ratio? Dividends to Policyholders (shareholders) ratio? Combined ratio after dividends?
36
What are the components of the beniesh earnings manipulation model/
37
Sustainable earnings regression model? Explain earnings modelled as cash flow and accruals and what is mroe sustainable
38
What are the components of the altman model, and higher z-score the ....?
39
Formula for chaneg in stock price after ex-divided date?
40
Formula for effective tax rate under double taxation? effective tax rate under split rate tax systems?
41
Target payout adjustment model: expected increase in dividends formula? Residual dividend payout model: dividend=residual earnings = ? EPS formula after buyback?
42
BVPS after buyback formula? dividend coverage ratio ? FCFE coverage ratio?
43
ERP formula for grinold kroner and constant growth dividend discount model
The Grinold-Kroner model calculates the ERP as follows: ERP = (Dividend yield + expected growth rate in the P/E + expected inflation + expected growth rate in real earnings per share + expected change in shares outstanding) - expected risk-free rate
44
Bond yield plus risk premium approach, CAPM and fama french 5 factor model
45
Gordon growth model and dividend discount model formula (structure)
46
Present value of a growth opportunity formula? Leading PE formula? Justified trailing PE and forward PE formula? Value of perpetuity?
47
Two stage DDM formula? H - Model formula? Three stage DDM formula?
48
Formula for growth rate? ROE formula? extended g formula?
49
Firm value using FCFF Equity value formula equity value under FCFE
50
Formula for FCFF: using NI, CFO, EBIT, EBITDA? Formula for FCFE: using NI, CFO, EBIT, EBITDA?
51
Firm value and equity value formula under single stage (stable growth)? Firm value, equity value and value off firm under two stage model?
52
Justified forward and trailing PE
53
Normalised EPS (historical average EPS) formula? Normalised EPS (average roe) formula? Justified P/B? Justified P/S?
Where S equal to sales not share price
54
What is the forward and trailing PEG ratio?
55
Vn based on multiples and enterprise value
56
Unexpected earnings and standardized unexpected earnings formula? Harmonic and weighted harmonic mean formula?
57
Residual income formula, EVA and MVA formula
58
What is general RI model and single stage RI model?
59
Multi-stage RI model , and with peristence?
60
What is the expanded CAPM and the build up approach? What is the excess earning method?
61
What is MVIC, and DLOC?
62
What is the discount factor, the forward pricing model, and forward rate model? What is the swap spread, the risky yield and default free yield
63
Effective duration formula
64
Convertible bonds: what is conversion ratio, conversion value, minimum value of convertible bond, market conversion price, market conversion premium per share, market conversion premium ratio, premium over straight value?
65
CDS: upfront payment formula, profit for buyer of protection
66
Formula for value of long forward prior to maturity, future value of underlying adjusted for carry cash flows, future value of underlying with continuous compounding?
67
No arbitrage formule for value of FRA, receive floating and receive fixed?
For (1,4) FRA quoted monthly take the 1 month rate and 4 month rate in proportion (as yearly), then as you to compute a 3 month rate (tm) is (90/360)
68
Fixed income forwad formula for cheapest-to-deliver, F0, and Q0?
69
Payment for interest rate swap formula, Value of swap (received fixed) and (pay fixed) and currency swap in domestic units?
70
Currency swap value in foreign currency? Equity swap pay fixed and recieve fixed formula
71
Currency forward formula, with continuous rates?
72
Value of equity swap formula, hedge ratio formula and risk-neutral probability
73
Value of a 1 period and 2 period option formula
74
Black scholes formula for call and put value and for options on futures
75
Black scholes formula for interest rate options and what is a cap, a floor and is longing a floor and shorting a cap equal to?
76
Value of a pay and a receive swaption with black scholes? Formula for number of optimal hedging units?
77
Real estate direct capitalisation method: Potential gross income = ? Effective gross income =? NOI = ? Cap rate is equal to ? or ? Value = ?
78
RE DCF value method: Value is equal to ? TV = ? What is DSCR? What is LTV? What is equity dividend rate?
79
Leveraged and unleveraged IRR formula?
80
Net asset value approach formula? What are non-cash rents, adjustments for full impact of acquisition and assumed cap rate?
81
Formula for Free flow from operations (FFO) and adjusted (AFFO)?
82
Private equity: formula for carried interest (deal by deal and normal), PIC =? Distributed to PIC = ?, Residual value to PIC = ?, Total value to PIC = ?
83
Commodities: Price return =? Roll return = ? Collateral return = ?, Total return = ?
84
What are the factors in the carhart 4 factor model and the two factor macroeconomic model?
85
Annual VAR formula? Z - value for thresholds for 1%, 5% and 10% Stdev and expected return for daily, monthly and weekly?
86
PM eco: Price formula and each component?
87
Active return formula? Asset allocation valued added and security selection value added formula?
88
Sharpe and information ratio formula? SR^2p = ? and thus optimal active risk equals what?
89
Fundamental law: expected active return = ? IR = ? What is IC and TC? and BR?
-TC= risk-weighted correlation between the forecasted active securitv returns and the actual activeweights. An unconstrained portfolio will have TC= 1. BR = the number of independent decisions made each ear. IC= the risk-weighted correlation between the forecasted actual returns and the realized active returns.
90
What is the effective spread for buy and sell orders? When is the measure good or bad?
91
VWAP transaction cost estimate for buy and sell orders? What is paper portfolio - actual portfolio? What problem does it overcome?
92
How to calculaet actual return on plan assets?
92
How to get ending pension obligation from start?
93
What is cooks d-measure?
94
What is the leverage measure ?
95
Arb and equil interest rate models, type, short rate, drift, term volatility and neg rates?
96
Periodic pension cost calc
97
How is CF statement adjusted for periodic pension cost vs contribution
If contribution greater then after tax difference added to CFO and subtracted from CFF if PC greater then reverse occurs
98
Under structural model how can a companies debt and equity be represented?
Equity is euro call option on companies assets, debt is risk-free bond and selling a put option on company assets