Formulas Flashcards

(28 cards)

1
Q
A

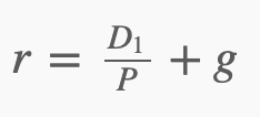
Constant Growth Dividend Discount Model (DDM)/ Intrinsic Model

=calculates the value of a dividend paying security w/a constant growth rate in $ terms

= it is used to predict the $ of a stock based on the theory that it’s present day price is worth the sum of all it’s future dividend payments, discounted to now

D1 = next year’s dividend

r=investor’s required rate of return

g= dividend growth rate

Present value of future dividends > current MV of stock = undervalued
Present value of future dividends < current MV of stock = overvalued

How well did you know this?
1
Not at all
2
3
4
5
Perfectly
2
Q

D1

A

D1 = D0(1+g)

How well did you know this?
1
Not at all
2
3
4
5
Perfectly
3
Q
A

Taxable Equivalent Yield

= provides the return that is required on a taxable investment to make it equal to the return on a tax-exempt investment

r=nominal rate of return

t= investor’s marginal tax rate

How well did you know this?
1
Not at all
2
3
4
5
Perfectly
4
Q
A

Jensen’s Performance Index/ Alpha

= measures the performance of a portfolio manager relative to the performance of the market.

=if the value is (+), then it is earning excess returns. They “beat” the market.

p=difference of return from the amount required by investors

rp=return of the portfolio

rf=risk free rate of return

rm=return of the market

βp=beta of the portfolio being measured

How well did you know this?
1
Not at all
2
3
4
5
Perfectly
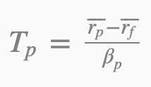
5
Q
A

Treynor Ratio

=measures risk-adjusted performance of a portfolio manager

=reward to volatility ratio

rp=return of the portfolio

rf=risk free rate of return

βp=beta of the portfolio being measured

It is used comparatively, so you have to compare 2+ investments for it to be useful. The higher the #, the better.

How well did you know this?
1
Not at all
2
3
4
5
Perfectly
6
Q
A

Taxable Equivalent Yield

=provides the return that is required on a taxable investment to make it equal to the return on a tax-exempt investment

r= nominal rate of return

t=investor’s marginal tax rate

How well did you know this?
1
Not at all
2
3
4
5
Perfectly
7
Q
A

Sharpe Ratio

=measures risk-adjusted performance of a portfolio in terms of standard deviation

=adjusts a portfolio past performance or expected future performance for the excess risk that was taken by the investor

rp=return of the portfolio

rf=risk free rate of return

σp=standard deviation of the portfolio being measured

Assumes investment returns are normally distributed. It is comparable, the higher the better.

How well did you know this?
1
Not at all
2
3
4
5
Perfectly
8
Q

R2 is more or less than .7?

A

If less than, use Sharpe (not sufficiently high enough)

If greater than, use Treynor (sufficiently high enough)

How well did you know this?
1
Not at all
2
3
4
5
Perfectly
9
Q
A

Capital Asset Pricing Model (CAPM)

=used to determine a theoretically appropriate required rate of return for an asset

=it describes the relationship between systemic risk and expected return for assets.

=regularly used for pricing risky securities and generating expected returns for assets given the risk and cost.

ri= investor’s required rate of return

rf= risk free rate of return (T-Bill)

rm= return of the market

βi=beta of the security being measured for the required return

(rm - rf) = market risk premium

How well did you know this?
1
Not at all
2
3
4
5
Perfectly
10
Q

What are comparative values?

A

Sharpe Ratio

Information Ratio

Treynor Ratio

How well did you know this?
1
Not at all
2
3
4
5
Perfectly
11
Q
A

Covariance

=measures how one security behaves as a direct result of another

+ means they move together, - means they move apart

ij= correlation of securities i and j

σi= standard deviation of security i (or j)

Even if we know they move apart or together, we don’t know how much

How well did you know this?
1
Not at all
2
3
4
5
Perfectly
12
Q
A

Expected Rate of Return

=the rate an investor should expect based on the price paid for a security

D1= next year’s dividend

P= market price paid for security

g= dividend growth rate

Always find D1. We are usually given D0, which is this year’s dividend

D1 = D0(1+g)

How well did you know this?
1
Not at all
2
3
4
5
Perfectly
13
Q
A

Beta

=provides risk as a measure of volatility relative to that of the market

=measure of systemic risk

σi= standard deviation of an individual security

σm= standard deviation of the market

im= correlation between an individual security and the market

COVim= covariance between an individual security and the market

The market/benchmark is always assumed to have a beta of 1.0

  • ~1.0 = similar performance to the market
  • <1.0 = less volatile than the market
  • >1.0 = more volatile than the market
How well did you know this?
1
Not at all
2
3
4
5
Perfectly
14
Q
A

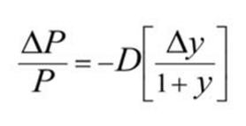
Change of a Bond Price

= states the change of a price that will occur in a bond as interest rates change

△P = $ change in price

P = price of a bond

△P/P = % price change of a bond

-D = the duration in terms of years used as a (-) value

y = % change in interest rates. If they decrease, this # should be a (-)

y = Years to Maturity

How well did you know this?
1
Not at all
2
3
4
5
Perfectly
15
Q

Which ratio measures total risk?

A

Sharpe ratio, because it defines risk in terms of standard deviation including both systematic and unsystematic risk

How well did you know this?
1
Not at all
2
3
4
5
Perfectly
16
Q

Current Yield

A

=annual income expected, generally from a bond

Annual interest in dollars

____________________

Bond’s market price

17
Q

Property’s intrinsic value

A

=helps determine the value of an investment property

Net Operating Income (NOI)

market value = ______________________

Capitalization Rate

Cap rate = required rate of return taking things into account like type, location, age, quality of tenants, etc

18
Q

Intrinsic value of a call option

A

= Determines how in the money an option is, or how much profit currently exists

Market Price - Exercise Price

If the calculated value is negative, the IV is ZERO

19
Q

Intrinsic value of a put option

A

= Determines how in the money an option is, or how much profit currently exists

Exercise price - market price

If the calculated value is negative, the IV is ZERO

20
Q

Real rate of return

A

AKA: inflation-adjusted return

=annual percentage of profit earned on an investment, adjusted for inflation

1 + Nominal Rate

_______________ - 1

1 + Inflation Rate

21
Q

Tax-Exempt Yield

A

= the interest rate on a taxable security that would generate an equivalent yield on a tax-exempt yield.

Tax-Exempt Yield = taxable yield x (1 - tax rate)

22
Q

Dividend Payout Ratio

A

=the percentage of earnings paid to shareholders via dividends

Dividends paid

_____________

EPS (earnings per share)

23
Q

Stock/Dividend Yield

A

=The dividend yield compares the amount of the dividend paid to the share price of the company’s stock.

Dividend per share

________________

Stock price per share

24
Q

Margin Call

A

=Margin calls are demands for additional capital or securities to bring a margin account up to the minimum maintenance margin.

1- Initial margin percentage

___________________________ x Purchase price of stock

1 - Maintenance margin percentage

25
P/E Ratio
=helps determine if a stock is over or under valued =the dollar amount an investor can expect to invest in a company in order to receive $1 of that company’s earnings current market price \_\_\_\_\_\_\_\_\_\_\_\_\_\_\_\_ earnings
26
What are examples on the calculator for using annuity due?
This is begin mode! * Cash Outflows * payments to colleges * retirement income * gifting * insurance premium payments * Cash Inflows * SS benefits * pensions * retirement planning * disability
27
With NPV calculations, what result is yes and no?
NPV= uneven cash flows. (+) = yes, do investment (-) = no, don't do it
28
NPV vs IRR
* NPV is superior because: * it is more reasonable to invest at the required rate of return than IRR * With changes of more than 2 in/outflows in an investment project, there is only one NPV, but multiple IRRs * IRR is typically sued for fixed income