Formulas Flashcards

(20 cards)

1
Q
A

Intrinsic value

How well did you know this?
1
Not at all
2
3
4
5
Perfectly
2
Q
A

expected rate of return

How well did you know this?
1
Not at all
2
3
4
5
Perfectly
3
Q
A

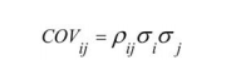
Covariance

How well did you know this?
1
Not at all
2
3
4
5
Perfectly
4
Q
A

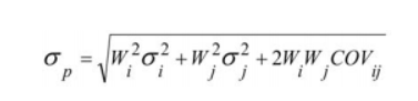
Portfolio deviation formula
Standard deviation for a 2 stock portfolio

How well did you know this?
1
Not at all
2
3
4
5
Perfectly
5
Q
A

Beta

How well did you know this?
1
Not at all
2
3
4
5
Perfectly
6
Q
A

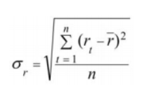
Standard deviation in a population
Deviation of a single security over a series of periods of return

How well did you know this?
1
Not at all
2
3
4
5
Perfectly
7
Q
A

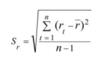
Standard Deviation of a Sample
Deviation of a single security over a series of periods of return

How well did you know this?
1
Not at all
2
3
4
5
Perfectly
8
Q
A

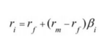
CAPM
Used to determine a theoretically appropriate required rate of return of an asset

How well did you know this?
1
Not at all
2
3
4
5
Perfectly
9
Q
A

Jensen Model
Measures the performance of a portfolio manager to the market

How well did you know this?
1
Not at all
2
3
4
5
Perfectly
10
Q
A

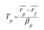
Treynor Ratio
Measures the risk-adjusted performance of a portfolio manager

How well did you know this?
1
Not at all
2
3
4
5
Perfectly
11
Q
A

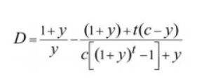
Duration
The length of time the discounted cash flow of a bond remains outstanding

How well did you know this?
1
Not at all
2
3
4
5
Perfectly
12
Q
A

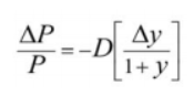
Change of bond price
The change of price that will occur in a bond as interest rates change

How well did you know this?
1
Not at all
2
3
4
5
Perfectly
13
Q
A

Information Ratio
Measures return above benchmark divided by standard deviation

How well did you know this?
1
Not at all
2
3
4
5
Perfectly
14
Q
A

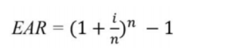
Effective Annual Return
Accounts for intra-year compounding

How well did you know this?
1
Not at all
2
3
4
5
Perfectly
15
Q
A

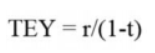
Taxable Equivalent Yield
Return that is required on a taxable investment to make it equal to the return on a tax-exempt

How well did you know this?
1
Not at all
2
3
4
5
Perfectly
16
Q
A

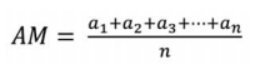
Arithmetic Mean
The average of a set of numerical values, calculated by adding them together and dividing by the

17
Q
A

Sharpe Ratio
Measures the risk-adjusted performance of a portfolio in terms of standard deviation

18
Q
A

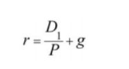
Rate of Return for Period N

19
Q
A

Holding Period Return
The total return received from holding an asset or portfolio of assets over a period of time

20
Q
A

Geometric Mean
The central number in a geometric progression, also calculable as the nth root of a product of n