Formulas Flashcards

(10 cards)

1
Q

Recite these formulaes

A

**Suvat Equations **
used for: Kinematics and projectile motion.

V = finla velocity
t = time
a = accelartion
u - intial velocity

How well did you know this?
1
Not at all
2
3
4
5
Perfectly
2
Q

Recite this formula

A

**Range, **
used to calculate range in projectile motion.

t = time
r = range or chage in x
v = horizontal velocity

How well did you know this?
1
Not at all
2
3
4
5
Perfectly
3
Q

Recite this formula

A

**Potential Enegry **
used in a range of questions, usulally kinematics/projectile motion

PE = potentila energy
m = mass
g = gravity
h = height

How well did you know this?
1
Not at all
2
3
4
5
Perfectly
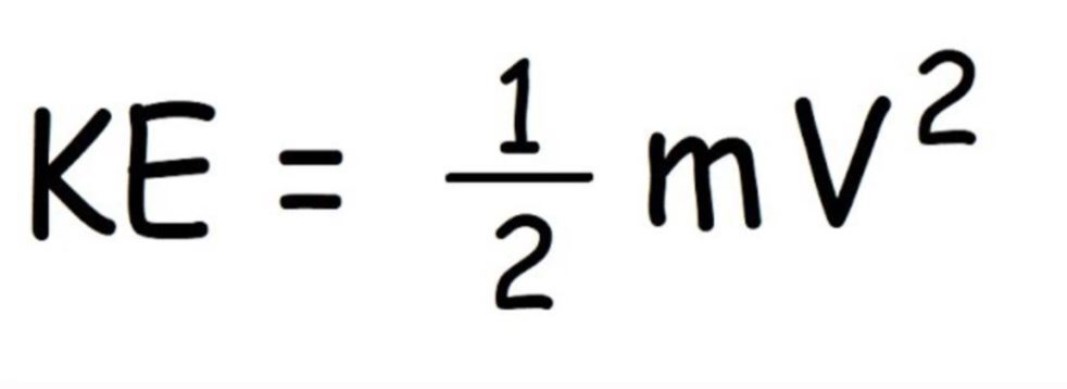
4
Q

Recite this formula

A

**Kinetic Enegry **

used in a rnage of questions, uslally projectile motion

KE = kinetic energy
m = mass
v = velocity

How well did you know this?
1
Not at all
2
3
4
5
Perfectly
5
Q

Recite this formula

A

Power
moslty used in kinematics but somtimes other things

P = power
e = change in energy (work)
t = chnage in time

How well did you know this?
1
Not at all
2
3
4
5
Perfectly
6
Q

Recite this formula

A

Work

or chnage in energy, used in kinematics

f = force
s = distance
cos theta if force is applied on an angle,

How well did you know this?
1
Not at all
2
3
4
5
Perfectly
7
Q

Recite this formula

A

**F = MA, or newtons second law. **
kinematics and somtimes electormagtism

f = force
m = mass
a = accerlation

How well did you know this?
1
Not at all
2
3
4
5
Perfectly
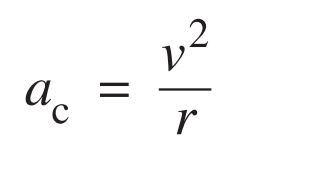
8
Q

Recite this formula

A

**Centripetal Acceleration **
used cirular motion and gravitational motion

a = centrpetal acceleration
v = velocity
r = raduis

How well did you know this?
1
Not at all
2
3
4
5
Perfectly
9
Q

Recite this formula

A

**Angular Velocity **
used in cirualr motion and sometime gravitational motion

w = angualr velocity
theta - chnage in angle in radians
t = time

How well did you know this?
1
Not at all
2
3
4
5
Perfectly
10
Q

Recite this formula

A

Torque

used in circular motion

r = raduis
f = force
sin theta if force is applied on an angle.

How well did you know this?
1
Not at all
2
3
4
5
Perfectly