Formulas Flashcards

(12 cards)

1
Q

EBITDA formula

A

EBITDA=NetIncome + Interest + Taxes + Depreciation + Amortization

How well did you know this?
1
Not at all
2
3
4
5
Perfectly
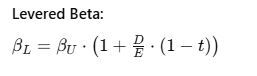
2
Q

Beta levered

A
How well did you know this?
1
Not at all
2
3
4
5
Perfectly
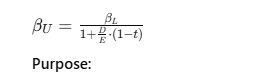
3
Q

Beta unlevered

A
How well did you know this?
1
Not at all
2
3
4
5
Perfectly
4
Q

Sources for Beta

A

Bloomberg (raw & adjusted beta)

Yahoo Finance (usually 2-year weekly beta)

Analyst reports

Regression of stock returns vs. market (e.g., S&P 500)

How well did you know this?
1
Not at all
2
3
4
5
Perfectly
5
Q

Cost of Debt

A

If public: Use current yield to maturity (YTM) of company’s traded debt

If private: Estimate using credit rating and yield spreads (e.g., Moody’s Baa)

How well did you know this?
1
Not at all
2
3
4
5
Perfectly
6
Q

Basic EPS

A
How well did you know this?
1
Not at all
2
3
4
5
Perfectly
7
Q

Normalized

A
How well did you know this?
1
Not at all
2
3
4
5
Perfectly
8
Q

Calendarization (for Comparable Companies)

A
How well did you know this?
1
Not at all
2
3
4
5
Perfectly
9
Q

Normalized

A

Normalized financials adjust a company’s earnings or other metrics to remove the effects of non-recurring, one-time, or unusual items.

Examples of Adjustments:

Remove gains or losses from asset sales

Exclude one-time legal settlements

Adjust for non-recurring restructuring charges

Strip out COVID-related government subsidies or temporary closures

Normalize owner compensation in private businesses

How well did you know this?
1
Not at all
2
3
4
5
Perfectly
10
Q

Pro Forma Financials

A

Pro forma financials present how the financial statements would look after a future event occurs, such as an acquisition, financing, or restructuring.

How well did you know this?
1
Not at all
2
3
4
5
Perfectly
11
Q

Beta

A

Measure of systematic risk.

How much returns move in relation to the overall market

Cov between stock and market return

/

Variance of market returns

How well did you know this?
1
Not at all
2
3
4
5
Perfectly
12
Q

Beta examples

A

EComm 1.5
Health 0.7 to 1.0
Banking 1.0
Industrials 1.0 to 1.2
Gold -0.5
Oil 1.3

How well did you know this?
1
Not at all
2
3
4
5
Perfectly