Formulas Flashcards

(21 cards)

1
Q

Distance

A

rate x time=rt=d

How well did you know this?
1
Not at all
2
3
4
5
Perfectly
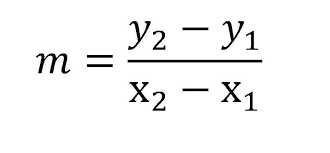
2
Q

Slope of a line with Endpoints

A

How well did you know this?
1
Not at all
2
3
4
5
Perfectly
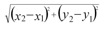
3
Q

Distance Formula

A

=D

How well did you know this?
1
Not at all
2
3
4
5
Perfectly
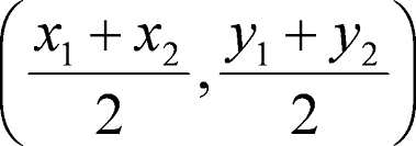
4
Q

Midpoint Formula

A

How well did you know this?
1
Not at all
2
3
4
5
Perfectly
5
Q

Circles

Lenght of an arc

A

(x/360)[2(3.14 or pi)r]

x=central angle of the arc

How well did you know this?
1
Not at all
2
3
4
5
Perfectly
6
Q

Circle

Area of sector

A

(x/360) [(pi)r*r]

x=central angle of the sector

How well did you know this?
1
Not at all
2
3
4
5
Perfectly
7
Q

Combination

Number of combinations

A

N!\R!(N-R)!

N= number of total items

R= number of items being choosen

How well did you know this?
1
Not at all
2
3
4
5
Perfectly
8
Q

Permutations

number of permuttation

A

N!(N-R)!

N= Number of items

R= Number of items being choosen

How well did you know this?
1
Not at all
2
3
4
5
Perfectly
9
Q

Lenght of a Diagonal of a Cube

A

s(2to the square root)

How well did you know this?
1
Not at all
2
3
4
5
Perfectly
10
Q

Length of a Diagonal of a Cube

A

s(3 square root)

How well did you know this?
1
Not at all
2
3
4
5
Perfectly
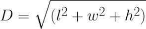
11
Q

Length of a Diagonal of a Rectangular Solid

A

Square [(x*x)+(y*y)+(z*z)]=D

How well did you know this?
1
Not at all
2
3
4
5
Perfectly
12
Q

Number of Diagonals for a Convex Polygon with
N Sides

A

N(N-3)\2

How well did you know this?
1
Not at all
2
3
4
5
Perfectly
13
Q

Sum of the Measures of the Interior Angles of a Regular Polygon with
N Sides

A

(N-2)180

How well did you know this?
1
Not at all
2
3
4
5
Perfectly
14
Q

Heron’s Formula

A

How well did you know this?
1
Not at all
2
3
4
5
Perfectly
15
Q

Pythagorean Theorem: (Can be used with
all right triangles)

A

(a*a)+(b*b)=(c*c)

How well did you know this?
1
Not at all
2
3
4
5
Perfectly
16
Q

Geometric Mean

A

a\x=x\b then (x*x)=ab and x=ab squared root

17
Q

Regular Polygon

A

measure of a central angle=360\n; n= number of side of the polgyon measure of a vertex angle=180-360\n;n= number of side of the polgyon

18
Q

Ratio of Two Similar Figures

A

If the ratio of the measures of corresponding side lengths is
A:B,then the ratio of the perimeters isA:B, the ratio of the areas is
A2 :B2 and the ratio of the volumes is A3 :B3

19
Q

Difference of Two Squares

A

a2-b2=(a-b)(a+b)

20
Q

Greatest Common Factor (GCF)

A

Multiply the two numbers and divide by the Least Common Multiple (LCM)
Example: to find the GCF of 15 and 20, multiply 15×20 = 300,then divide by the LCM, 60. The GCF is 5

21
Q

consececutive