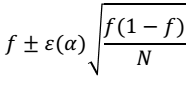
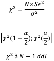
Intervalle de confiance
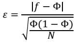
fréquence

Intervalle de confiance
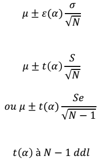
moyenne

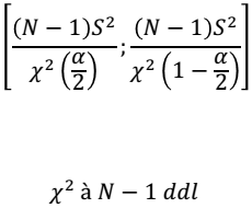
intervalle de confiance
variance

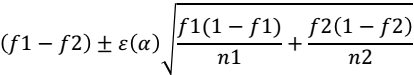
Différence d’IC
fréquence

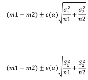
Différence d’IC
moyenne

Intervalle de pari
fréquence

Intervalle de pari
moyenne

Intervalle de pari
fréquence

Test de conformité
fréquence

Test de conformité
moyenne

Tets de conformité
variance

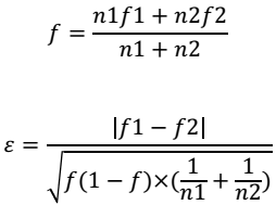
test d’homogéneité
fréquence

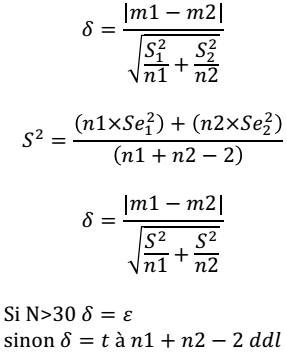
test d’homogéneité
moyenne

test d’homogéneité
variance
