Qual das seguintes equações gerais representa uma função de 2º grau ou quadrática?
Letra B
y = ax2 + bx + c
Equação polinomial da função de 2º grau:
y = a(x - x1) . ( x – x2)
O gráfico de uma função de 2º grau é uma____________.
Parábola!
O coeficiente “a” da função f(x) = ax2 + bx +c interfere na___________ da parábola.
Concavidade!

Na função f(x) = ax2 + bx + c quando a > 0 a concavidade da parábola será para ___________ ,e quando a < 0 a concavidade da parábola será para ____________.
Cima
Baixo

Na função f(x) = ax2 + bx + c, para a > 1, quanto maior“a”________ (menos/mais) côncava será a parábola.
Mais!

Na função f(x) = ax2 + bx + c para b > 0 significa:
Parábola corta o eixo y (eixo das ordenadas) na sua região crescente.

Na função f(x) = ax² + bx + c para b < 0 significa:
Parábola corta o eixo y (eixo das ordenadas) na sua região decrescente.

Na função f(x) = ax² + bx + c para b = 0 significa:
Eixo y (eixo das ordenadas) é o eixo simétrico da parábola.

Na função f(x) = ax² + bx + c o termo independente “c” nos dá:
Onde a parábola intersecta o eixo y (eixo das ordenadas).
Fórmula do Delta:

Fórmula de Baskhara:

Quando Delta > 0 a função quadrática possui:
Duas raízes reais e distintas.
Quando Delta < 0 a função possui:
Raízes não reais
(COMPLEXAS)
Quando Delta = 0 a função possui:
Duas raízes iguais!
Para achar as raízes da função f(x) = x2 - 6x - 6 devemos:
Achar o zero da função, igualar f(x) a zero.
Como deverá ser o gráfico para a situação Delta < 0?
Não intersecta o eixo x!

Como deverá ser o gráfico para a situação Delta > 0?
Intersecta o eixo x em dois pontos distintos.

Como deverá ser o gráfico para a situação Delta = 0?
Tangencia o eixo x!

Fórmula x do vértice:

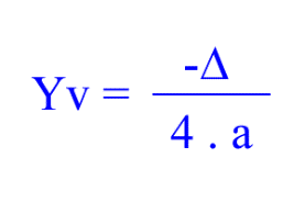
Fórmula y do vértice:

Parábola com concavidade para cima (a > 0 ) possui valor máximo ou mínimo?
Mínimo!
Parábola com concavidade para baixo (a < 0 ) possui valor máximo ou mínimo?
Máximo!