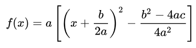
Função do Segundo Grau.
Escreva a forma Canônica.

Função do Segundo Grau.
Formas possíveis e coordenas dos vértices.

Função do 1º Grau
Como saber se é crescente ou decrescente?
f(x) = ax+b
a < 0 : função decrescente
a > 0 : função crescente
Como comparar um número n com as raízes da função f(x) = ax2 + bx + c?