Funçoes Flashcards

(4 cards)

1
Q

FORMATOS DE PARÁBOLA

A
How well did you know this?
1
Not at all
2
3
4
5
Perfectly
2
Q

FÓRMULA FATORADA DA PARÁBOLA

A
How well did you know this?
1
Not at all
2
3
4
5
Perfectly
3
Q

FÓRMULA CANÔNICA DA PARÁBOLA

A
How well did you know this?
1
Not at all
2
3
4
5
Perfectly
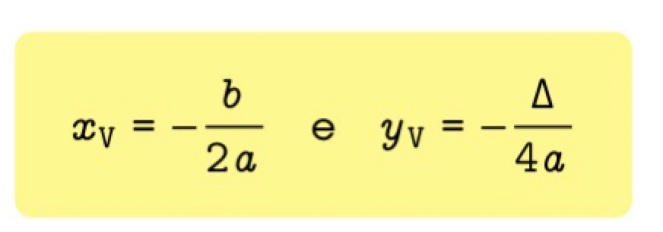
4
Q

Xv e Yv

A
How well did you know this?
1
Not at all
2
3
4
5
Perfectly