Quais as 2 condições para que uma relação seja considerada uma função?
1) Todos os elementos do domínio estarem relacionados com algum elemento do contradomínio.
2) Cada elemento do domínio possuir uma única imagem
O que é a raiz de uma função?
Valor de x que anula a função. Logo é o valor que toca o eixo x no gráfico.
Em uma função f(x), _____________ é o conjunto dos valores que x pode assumir, enquanto _____________ é o conjunto dos valores que f(x) pode assumir.
Domínio;
Contradomínio.
Qual a diferença entre Contradomínio e Imagem de uma função ?
Contradomínio são os valores que f(X) pode assumir, enquanto Imagem são os valores que f(X) realmente assume.
Uma função pode não ser nem par nem ímpar?
Sim!
Ela pode ser sem paridade.
A imagem abaixo representa uma função?

Não, pois há elementos do domínio se relacionando com mais de um no contradomínio.
A imagem abaixo representa uma função?

Não, pois um dos elementos do domínio não tem correlação no contradomínio.
Qual a definição de uma função sobrejetora ?
Uma função em que o Conjunto Imagem é o próprio Contradomínio.
Qual a definição de uma função injetora?
Uma função em que cada elemento da Imagem só tem um único correspondente no Domínio.
A função abaixo é injetora?

NÃO!
Classifique a função abaixo em Sobrejetora, Injetora ou Bijetora:

Sobrejetora!
Classifique a função abaixo em Sobrejetora, Injetora ou Bijetora:

Injetora!
A função de 2º grau f(x) = x2 é função par ou ímpar?
Par!
A função f(x) = -3x é par ou ímpar ?
Ímpar!
Qual o número de horas em que os dois reservatórios contêm a mesma quantidade de água?

3!
Na função de 1º grau f(x) = ax + b, o que representam as constantes a e b?
a é o coeficiente angular e b é o termo independente.
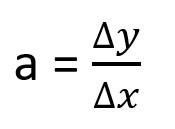
Como determinar o a na função de primeiro grau?

Como determinar o b na função de primeiro grau?
Usando o ponto que toca o eixo y
Qual a lei da função no gráfico abaixo?

f(x) = -x + 2
Qual o valor de b na função abaixo?

-2
Qual o valor de a na função abaixo?

a = 25
Um taxista cobra R$ 3,50 de bandeirada mais R$ 0,70 por km rodado. Que função descreve o preço P(x) dessa corrida?
P(x) = 0,70x + 3,50
Qual a equação da função de 2º grau?
f(x) = ax2 + bx + c
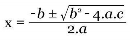
Como encontrar as raízes da função de 2º grau?
Usando a fórmula de Bhaskara:
