Functional Groups Flashcards

(14 cards)

1
Q

Alcohol

A
How well did you know this?
1
Not at all
2
3
4
5
Perfectly
2
Q

Aldehyde

A
How well did you know this?
1
Not at all
2
3
4
5
Perfectly
3
Q

Ketone

A
How well did you know this?
1
Not at all
2
3
4
5
Perfectly
4
Q

Carboxylic Acid

A
How well did you know this?
1
Not at all
2
3
4
5
Perfectly
5
Q

Ester

A
How well did you know this?
1
Not at all
2
3
4
5
Perfectly
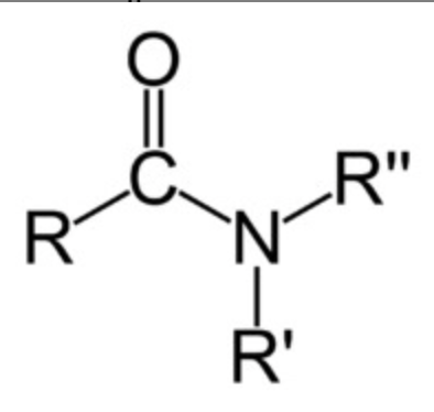
6
Q

Amide

A
How well did you know this?
1
Not at all
2
3
4
5
Perfectly
7
Q

Anhydride

A
How well did you know this?
1
Not at all
2
3
4
5
Perfectly
8
Q

Acetyl Group

A
How well did you know this?
1
Not at all
2
3
4
5
Perfectly
9
Q

Enol

A
How well did you know this?
1
Not at all
2
3
4
5
Perfectly
10
Q

Ether

A
How well did you know this?
1
Not at all
2
3
4
5
Perfectly
11
Q

Imine

A
How well did you know this?
1
Not at all
2
3
4
5
Perfectly
12
Q

Thiol

A
How well did you know this?
1
Not at all
2
3
4
5
Perfectly
13
Q

Amine

A
How well did you know this?
1
Not at all
2
3
4
5
Perfectly
14
Q
A
How well did you know this?
1
Not at all
2
3
4
5
Perfectly