Functional Groups Flashcards

Exam 3 (13 cards)

1
Q
A

Alkanes
Alkenes
Alkynes
Halides
Alcohols

How well did you know this?
1
Not at all
2
3
4
5
Perfectly
2
Q
A

Ethers
Thiol
Sulfide
Amines
Carbonyl (usually is not a stand alone group)

How well did you know this?
1
Not at all
2
3
4
5
Perfectly
3
Q
A

These are all carbonyl groups:

Aldehydes
Ketones
Esters
Amides
Carboxylic Acids

How well did you know this?
1
Not at all
2
3
4
5
Perfectly
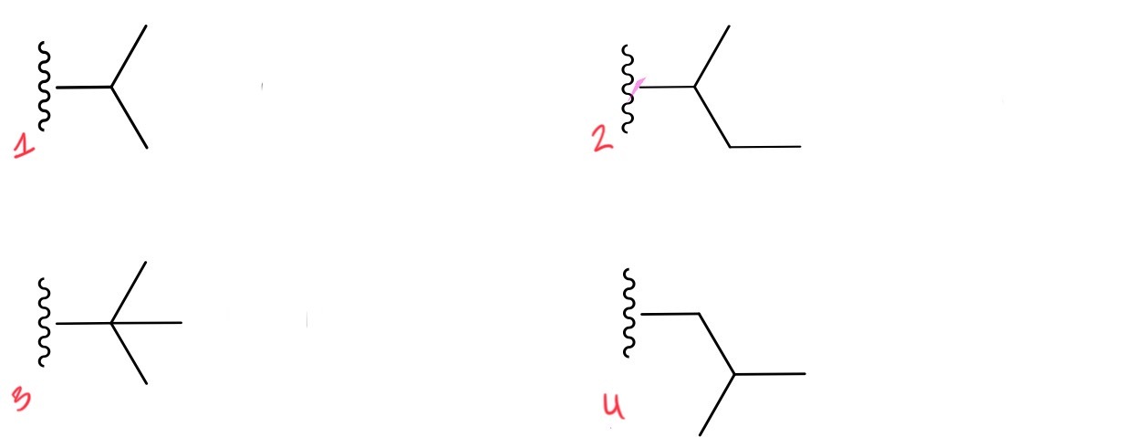
4
Q

Special Substituents

A
  1. Isopropyl
  2. sec-butyl
  3. T-butyl
  4. isobutyl
How well did you know this?
1
Not at all
2
3
4
5
Perfectly
5
Q
A

Benzene Rings with a common name
Toluene
Cumene
Styrene
Phenol
Anisole
Aniline

How well did you know this?
1
Not at all
2
3
4
5
Perfectly
6
Q

Are these ortho, meta, or para?

A

Orto
Meta
Para
Meta

How well did you know this?
1
Not at all
2
3
4
5
Perfectly
7
Q
A

Fused benzenes

Napthalene
Anthracene
Phenanthrene
Pyrene
Fullerene (aka bucky ball)

How well did you know this?
1
Not at all
2
3
4
5
Perfectly
8
Q
A

Benzene
Pyrrole
Furan
Thiopene

How well did you know this?
1
Not at all
2
3
4
5
Perfectly
9
Q
A

Imidazole
Pyridine
Pyrimidine
Indole

How well did you know this?
1
Not at all
2
3
4
5
Perfectly
10
Q

Heteroatoms

A

Considered cyclic ethers or cyclic amines

Tetrahydrofuran
Pyrrolidine
Tetrahydropyran
Piperidine
Piperazine
Morpholine

How well did you know this?
1
Not at all
2
3
4
5
Perfectly
11
Q

Common names he said not to know pt 1

A
  1. Acetone
  2. Formaldehyde
  3. Acetophenone
  4. Acetaldehyde
  5. Benzophenone
  6. Benzaldehyde
How well did you know this?
1
Not at all
2
3
4
5
Perfectly
12
Q

Common names he said not to know pt 2

A
  1. Formamide
  2. Formic acid
  3. Acetamide
  4. Acetic Acid
  5. Benzamide
  6. Benzoic Acid
How well did you know this?
1
Not at all
2
3
4
5
Perfectly
13
Q
A
  1. Steroids
  2. Quinines
  3. Penicillins
  4. Barbituates
  5. Benzodiazepines
  6. Anesthetics
  7. Morphines
  8. Benzomorphans
  9. Phenylpiperidines
How well did you know this?
1
Not at all
2
3
4
5
Perfectly