Functional Groups Flashcards

(30 cards)

1
Q

Alkane

A

C-C

How well did you know this?
1
Not at all
2
3
4
5
Perfectly
2
Q

Alkene

A

C=C

How well did you know this?
1
Not at all
2
3
4
5
Perfectly
3
Q

Ethers

A

C-O-C

How well did you know this?
1
Not at all
2
3
4
5
Perfectly
4
Q

Aldehydes

A
How well did you know this?
1
Not at all
2
3
4
5
Perfectly
5
Q

Thiol

A

C-SH

How well did you know this?
1
Not at all
2
3
4
5
Perfectly
6
Q

Ketones

A
How well did you know this?
1
Not at all
2
3
4
5
Perfectly
7
Q

Alkynes

A
How well did you know this?
1
Not at all
2
3
4
5
Perfectly
8
Q

Sulfide

A

C-S-R

How well did you know this?
1
Not at all
2
3
4
5
Perfectly
9
Q

Esters

A
How well did you know this?
1
Not at all
2
3
4
5
Perfectly
10
Q

Halides

A

C-X

How well did you know this?
1
Not at all
2
3
4
5
Perfectly
11
Q

Amines

A

C-N

How well did you know this?
1
Not at all
2
3
4
5
Perfectly
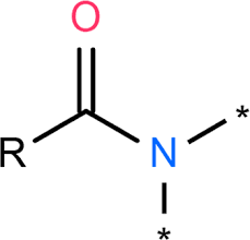
12
Q

Amides

A
How well did you know this?
1
Not at all
2
3
4
5
Perfectly
13
Q

Alcohols

A

C-OH

How well did you know this?
1
Not at all
2
3
4
5
Perfectly
14
Q

Carbonyl

A

C=O

How well did you know this?
1
Not at all
2
3
4
5
Perfectly
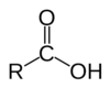
15
Q

Carboxylic Acid

A
How well did you know this?
1
Not at all
2
3
4
5
Perfectly
16
Q

C-C

17
Q

C=C

18
Q

C-O-C

19
Q
20
Q

C-SH

23
Q

C-S-R

25
C-X
Halides
26
C-N
Amines
27
Amides
28
C-OH
Alcohols
29
C=O
Carbonyl
30
Carboxylic Acid