Further maths pure Flashcards

(22 cards)

1
Q

How to work out shortest distance between two lines

A

Find the journey from one to the other and dot the journey with both their direction vectors as it will be normal to both of them

How well did you know this?
1
Not at all
2
3
4
5
Perfectly
2
Q

Vector equation

A

Lamda mew

How well did you know this?
1
Not at all
2
3
4
5
Perfectly
3
Q

Cartesian equation

A

x,y,z

How well did you know this?
1
Not at all
2
3
4
5
Perfectly
4
Q

When can you multiply matricies

A

When columns of the first one equal rows of the second one

How well did you know this?
1
Not at all
2
3
4
5
Perfectly
5
Q

How do you form the equations in simple harmonic motion

A

F=ma

How well did you know this?
1
Not at all
2
3
4
5
Perfectly
6
Q

Ones that cannot reproduce

A

Mature

How well did you know this?
1
Not at all
2
3
4
5
Perfectly
7
Q

What is the equation of the ground and what is normal to it

A

(110) and normal is (001)

How well did you know this?
1
Not at all
2
3
4
5
Perfectly
8
Q

Invariant points

A

No plus c

How well did you know this?
1
Not at all
2
3
4
5
Perfectly
9
Q

What is the mirror line

A

Line of invariant points

How well did you know this?
1
Not at all
2
3
4
5
Perfectly
10
Q

What do you need to say when talking about enlargements

A

About origin

How well did you know this?
1
Not at all
2
3
4
5
Perfectly
11
Q

If you are working out angle against just the horizontal

A

Do opposite over adjacent

How well did you know this?
1
Not at all
2
3
4
5
Perfectly
12
Q

followed by

A

Second one first

How well did you know this?
1
Not at all
2
3
4
5
Perfectly
13
Q

cos(nx) + isin(nx) =

A

e^inx

How well did you know this?
1
Not at all
2
3
4
5
Perfectly
14
Q

How to find root of complex number

A
How well did you know this?
1
Not at all
2
3
4
5
Perfectly
15
Q

How to show the leaking questions

A
How well did you know this?
1
Not at all
2
3
4
5
Perfectly
16
Q

Rules for sums of squares

17
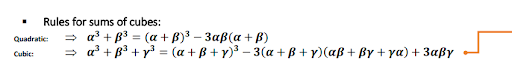
Q

Rules for sum of cubes

18
Q

How to inverse 2x2

A

1/detA(d -b -c a in clockwise order from top left)

19
Q

Skew

A

Meet in 2 but not 3

20
Q

not skew and dont meet

21
Q

If something cannot be in original functriuon can it be in intergral