Define a generating function.

Define the convolution.

What is the generating function of c when a and b have generating function Ga(s) and Gb(s)?

What are four important properties of generating functions?

Define a probability generating function.

Finish the following theorem.


Prove the following theorem.


How do you compute the variance through a moment generating function?

How do you derive the moment generating function using the probability generating function?

Finish the following theorem about generating functions.


Prove the following theorem.


What is the left and right hand side of the following called?

The left hand side is a convolution of generating functions while the right side is a multiplication of generating functions.
Finish the following theorem.


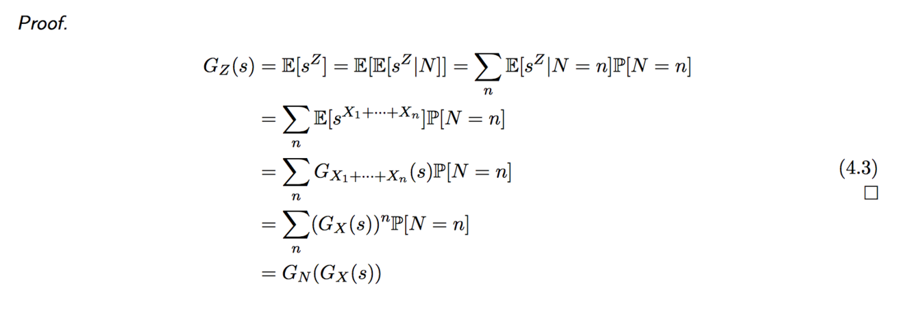
Prove the following theorem.

