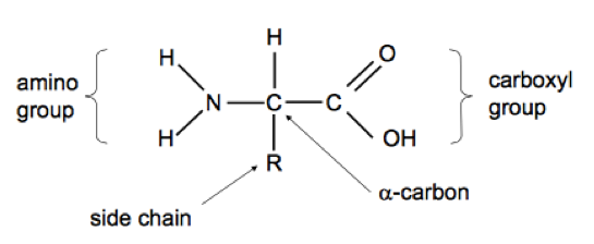
What is the structure of an amino acid?

Define Chirality
Chirality means “handed”
The central carbon of an amino acid is the chiral centre, it has four substitutents bound to it giving rise to different isomers.
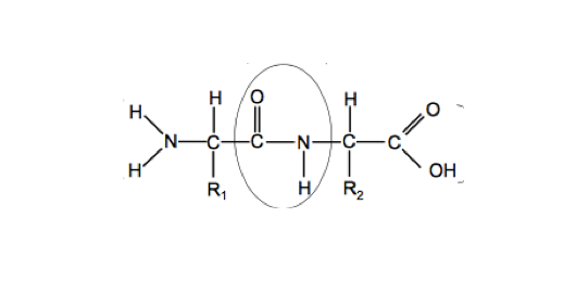
Describe the key features of this peptide (amino terminus, carboxyl terminus, peptide bond & side chain)


List the different bonds that hold protein together in their conformations
What is a covalent bond?
Bond where two atoms share electrons - it is the strongest type of bond
What is a hydrogen bond?
When two atoms bearing partial negative charges share a partially positively charged hydrogen, the atoms are engaged in a hydrogen bond
What is an ionic interaction?
These arise from the electrostatic attraction between charged side chains
What are Van der Waals forces?
These are transient, weak electrostatic attractions between two atoms, due to the fluctuating electron cloud surrounding each atom which has a temporary electric dipole
What are hydrophoic interactions
The major force driving the folding of proteins into their correct conformation.
They create a hydrophobic core and a hydrophilic surface to the majority of proteins
Describe the four folding structures of a protein
What are the two major secondary structures of a protein?
Define a nucleic acid
DNA and RNA are examples of nucleic acids
Nucleic acids are macromolecules made up of nucleotides
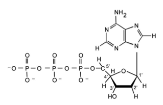
Define a nucleotide
A nucleotide is composed of a base, a sugar, and a phosphate group.

Give some examples of a nucleotide
Define a nucleoside
Composed of a base + sugar
(i.e. no phosphates)
Give some examples of a nucleoside
What are the Bases? (inc. DNA and RNA)

What is the difference between a purine and a pyrimidine base?
Purines = one carbon ring nitrogen base
Pyrimidines = two carbon ring nitrogen base
Which bases are purines?
Which bases are pyrimidines?
Describe the primary structure of DNA
Describe the secondary structure of DNA
Explain Watson-Crick base pairing
The bases of DNA always pair specifically -
A – T
C – G
How main hydrogen bonds are in each base pair (A/T and C/G)
What are the key differences between the E. coli (bacterial) and human (eukaryotic) genome?