GENETICS Flashcards

(20 cards)

1
Q

What is the most likely effect at the protein level of a 1 base pair deletion within an exon of a gene?

Frameshift resulting in abnormal protein sequence from the site of the deletion.

Splicing abnormality resulting in exon skipping.

Single amino acid (missense) change.

Premature stop codon at the site of the deletion resulting in a prematurely truncated protein (nonsense mutation).

No effect (i.e. benign polymorphism).

A

The correct answer is Frameshift resulting in abnormal protein sequence from the site of the deletion.

Frameshift resulting in abnormal protein sequence from the site of the deletion is the most likely outcome of a 1 base pair deletion within an exon. The deletion shifts the “reading frame” of the gene, potentially altering every subsequent amino acid in the protein. This often results in a nonfunctional protein and can lead to severe consequences depending on the gene’s role.

A frameshift mutation is a DNA change that affects the normal triplet reading frame of the DNA code (usually deletion or insertion). Due to the triplet nature of gene expression by codons, the insertion or deletion can change the reading frame (the grouping of the codons), resulting in a completely different translation from the original.

The earlier in the sequence the deletion or insertion occurs, the more altered the protein produced is.

Disease examples of Frameshift mutation:

Tay-Sachs disease
CCR5 HIV receptor
Some type of familial hypercholesterolemia.

How well did you know this?
1
Not at all
2
3
4
5
Perfectly
2
Q

A patient with a mitochondrial cytopathy is found to have a frameshift mutation in the ND4 gene, a complex I gene in the mitochondrial genome.

Which of the following statements represents the most likely outcome of this mutation?

Heteroplasmy with mitochondrial inheritance.
Polyplasmy with expression limited to females.
Homoplasmy with mitochondrial inheritance.
Heteroplasmy with autosomal recessive inheritance.
Homoplasmy with autosomal recessive inheritance.

A

The correct answer is Heteroplasmy with mitochondrial inheritance.

This is a beautifully worded question, cleverly designed to test the candidates understanding of various genetic concepts.

The defective product is in the mitochondrial genome so most likely pattern of inheritance would be mitochondrial inheritance.

Mitochondrial Inheritance is distinct from autosomal inheritance. In mitochondrial inheritance, genes are passed down from the mother via the mitochondria in her eggs. Mitochondria in sperm do not typically contribute to the offspring’s mitochondrial DNA.

Mitochondrial Cytopathy refers to a disease caused by dysfunctional mitochondria, often due to genetic mutations in the mitochondrial DNA (mtDNA).

A Frameshift Mutation in ND4 can disrupt the function of Complex I, leading to mitochondrial dysfunction.

Homoplasmy is when all mitochondrial DNA copies in a cell are identical. In the case of a mitochondrial disease, this would mean that all mtDNA copies carry the mutation, which is less common.

Heteroplasmy refers to the presence of more than one type of mitochondrial DNA within a cell. In the context of mitochondrial diseases, it’s common for a mixture of mutated and normal mtDNA to exist within the same cell.

Polyplasmy isn’t a standard term in genetic terminology. It appears to be a mix-up or a misunderstanding of the terms polygeny (involving many genes) or polyploidy (having more than two sets of chromosomes), neither of which are relevant here.

So is it homoplasmy or heteroplasmy? As stated above, Homoplasmy is when ALL of mitochondrial DNA affected. Heteroplasmy is when only SOME of the mitochondrial DNA affected.

Heteroplasmy is the presence of a mixture of more than one type of mitochondrial DNA within a cell or individual. It is a factor for the severity of mitochondrial diseases, since every eukaryotic cell contains many hundreds of mitochondria with hundreds of copies of mtDNA, so it is very frequent for mutations to affect only some of the copies, while the remaining ones are unaffected.

Given these explanations, the most likely outcome of a frameshift mutation in the ND4 gene, a complex I gene in the mitochondrial genome, is heteroplasmy with mitochondrial inheritance which reflects the mixed population of normal and mutated mitochondrial DNA typically seen in mitochondrial diseases.

Symptoms of severe heteroplasmic mitochondrial disorders frequently do not appear until adulthood because many cell divisions and a lot of time is required for a cell to receive enough mitochondria containing the mutant alleles to cause symptoms.

An example is Leber optic atrophy. Individuals with this condition often do not experience vision difficulties until they have reached adulthood.

Previous Lesson
Back to Course

How well did you know this?
1
Not at all
2
3
4
5
Perfectly
3
Q

Different mutations in the DMD (Duchenne muscular dystrophy) gene cause three clinically distinct syndromes in males. The table below lists the three conditions, the degree of skeletal muscle weakness, and a number of different abnormal genotypes involving the DMD gene.

Which of the following represents the most likely relationship between the genotypes and phenotypes?

A

The correct answer is Option B.

The DMD gene, which is implicated in Duchenne Muscular Dystrophy (DMD), Becker Muscular Dystrophy (BMD), and X-linked Cardiomyopathy, exhibits different types of mutations leading to these distinct clinical syndromes.

Understanding the relationship between the type of genetic mutation and the resultant syndrome is important in the field of genetics and clinical medicine.

Here’s how these conditions correlate with specific types of mutations in the DMD gene:

  1. Duchenne Muscular Dystrophy (DMD) is typically caused by frameshift mutations (deletions or insertions) in the DMD gene that disrupt the reading frame. These mutations usually result in a premature stop codon, leading to the production of a truncated and non-functional dystrophin protein. Dystrophin is essential for muscle fiber integrity, and its absence or severe reduction results in the severe phenotype seen in DMD, which is characterized by progressive muscle weakness and degeneration.
  2. Becker Muscular Dystrophy (BMD) is often caused by in-frame deletions in the DMD gene. These in-frame deletions result in the removal of one or more exons but do not disrupt the reading frame of the dystrophin gene. Consequently, a partially functional dystrophin protein is produced. Although this protein is shorter than normal, it retains some functionality, which leads to a milder muscle weakness and a slower progression of muscle degeneration compared to DMD.
  3. X-linked Cardiomyopathy is a condition that is specifically associated with mutations that affect the expression of dystrophin in the heart. One example is mutations in the promoter region of the DMD gene, which can lead to a specific reduction or alteration in dystrophin expression in cardiac muscle. These promoter mutations do not typically disrupt the dystrophin protein’s coding sequence, but rather affect the level or timing of its expression. This leads to a phenotype where cardiac muscle is predominantly affected, often with less severe or even absent skeletal muscle symptoms.

In summary, the distinction between these three conditions associated with the DMD gene lies in the nature of the genetic mutations: frameshift mutations usually lead to Duchenne Muscular Dystrophy, in-frame deletions are often the cause of Becker Muscular Dystrophy, and promoter region mutations can result in X-linked Cardiomyopathy.

Each type of mutation has a different impact on the dystrophin protein, which explains the variability in clinical presentation and severity among these conditions.

Previous Lesson

How well did you know this?
1
Not at all
2
3
4
5
Perfectly
4
Q

A frameshift mutation is best described as a:

mutation which alters the normal splicing of an intron.
missing base or set of bases which results in a premature stop codon.
single base change which alters that codon to one which now reads stop.
sequence alteration which occurs at or near regulatory sequences in the 5’ untranslated region of the gene.
mutation which alters the codons downstream of its location

A

The correct answer is mutation which alters the codons downstream of its location

Mutation which alters the codons downstream of its location is the correct definition of a frameshift mutation. A frameshift mutation occurs when there are insertions or deletions of a number of nucleotides in a DNA sequence that is not divisible by three. Since the genetic code is read in triplets (codons), this shifts the reading frame, changing every codon downstream of the mutation.

A frameshift mutation is a DNA change that affects the normal triplet reading frame of the DNA code (usually deletion or insertion). Due to the triplet nature of gene expression by codons, the insertion or deletion can change the reading frame (the grouping of the codons), resulting in a completely different translation from the original.

How well did you know this?
1
Not at all
2
3
4
5
Perfectly
5
Q

In a family in which two boys are affected by an X-linked disorder, a causative point mutation is identified. On blood testing, the mutation is found in both boys but not demonstrated in the mother.

The most likely explanation for this finding is:

non-maternity.
laboratory error.
recurrent new mutation
maternal gonadal mosaicism for the mutation.
skewing of X-inactivation in the mother’s blood.

A

The correct answer is maternal gonadal mosaicism for the mutation.

In the scenario described, where two boys in a family are affected by an X-linked disorder with a causative point mutation identified in both, but not in their mother, the most likely explanation is maternal gonadal mosaicism for the mutation.

Gonadal mosaicism refers to a situation where a mutation occurs in some of the cells of the gonads (ovaries, in this case). This means the mother’s eggs could carry the mutation, even though the mutation is not present in her blood cells or other tissues tested. This can result in having more than one child with a genetic disorder despite the absence of the mutation in the parent’s somatic (body) cells.

Therefore, maternal gonadal mosaicism, where the mutation is present in some of the mother’s egg cells but not in her somatic cells (like those in blood), is the most plausible explanation for the presence of the mutation in both boys but not in the mother’s blood.

How well did you know this?
1
Not at all
2
3
4
5
Perfectly
6
Q

Which one of the following types of mutation is most likely to lead to the introduction of a premature stop codon?

3 base pair inversion in an exon.
1 base pair insertion in the promoter
2 base pair duplication in an intron.
1 base pair insertion in an exon.
3 base pair deletion in an exon.

A

The correct answer is 1 base pair insertion in an exon.

The mutation most likely to lead to the introduction of a premature stop codon is a 1 base pair insertion in an exon.

1 base pair insertion in an exon is the most likely candidate for introducing a premature stop codon. Exons are regions of a gene that are transcribed and translated into the protein. A single base pair insertion here can cause a frameshift mutation. A frameshift mutation alters the reading frame of the gene and can lead to the introduction of a premature stop codon, abruptly terminating the protein.

3 base pair inversion in an exon is an inversion that involves the reversal of a segment of DNA, in this case, three base pairs within an exon. While this can alter the protein structure by changing the amino acids coded, it does not typically result in a premature stop codon unless the inverted sequence coincidentally codes for one.

1 base pair insertion in the promoter occurs in the promoter region, which is important for the initiation of transcription but does not directly code for the amino acid sequence of the protein. Therefore, it is unlikely to introduce a premature stop codon.

3 base pair deletion in an exon is a deletion of three base pairs (equivalent to one codon) in an exon can remove or change an amino acid in the protein but does not usually cause a frameshift. This is because the genetic code is read in triplets, and removing a complete triplet maintains the reading frame.

For 2 base pair duplication in an intron, introns are non-coding regions that are removed from the RNA transcript during RNA splicing. A mutation here, especially a duplication, is unlikely to result in a premature stop codon in the final protein product.

Therefore, the 1 base pair insertion in an exon is the most probable cause of a premature stop codon due to the frameshift mutation it would induce.

In short,

1 or 2 base pair insertion or deletion in an exon = Frameshift mutation resulting in abnormal protein sequence from the site of the deletion.

3 base pair deletion in an exon will only alter that particular amino acid while the other amino acid is unaffected.

How well did you know this?
1
Not at all
2
3
4
5
Perfectly
7
Q

A woman presents for genetic counselling early in her first pregnancy. Her husband has a disorder caused by a mitochondrial DNA point mutation; several other members of his family are also affected.

The risk that this baby will be affected by the same condition is closest to:

50%
5%
0%
100%
25%

A

The correct answer is 0%.

The pattern of inheritance of conditions due to faulty mitochondrial genes is often called maternal inheritance.

This is because a child inherits the great majority of their mitochondria from their mother through the egg.

The sperm contributes very few mitochondria to the baby. An individual’s mitochondria are generally only inherited from his or her mother. A mutation in one of the mitochondrial genes that makes it faulty, can therefore be passed by the mother to a child in her egg cells.

How well did you know this?
1
Not at all
2
3
4
5
Perfectly
8
Q

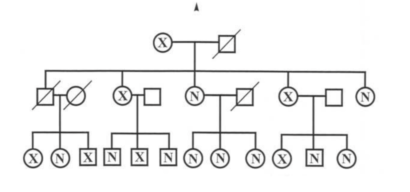
In the pedigree shown, individuals marked with an X have a rare genetic disorder. Those marked with an N are clinically normal. Those with a slash are deceased and the remaining family members have not been examined clinically.

From the pedigree which one of the following is the most likely mode of genetic inheritance?

A

The correct answer is autosomal dominant

Clue to diagnosis: Look for male to male transmission.

Autosomal dominant inheritance is a pattern of inheritance where a mutation in one copy of a gene (located on an autosomal chromosome, i.e., not a sex chromosome) is sufficient to cause the disorder or trait. In the context of male-to-male transmission, autosomal dominant traits typically show the following features:

  1. Vertical Transmission:
    – Affected individuals (individuals with the genetic disorder) are usually found in every generation.
    – There is a pattern of vertical transmission, meaning the trait is passed from one generation to the next.
  2. Male-to-Male Transmission:
    – Unlike X-linked inheritance, autosomal dominant traits can be transmitted from an affected father to his sons.
    – In X-linked inheritance, the trait is usually passed from an affected mother to all of her sons but does not pass from father to son.
  3. Equal Likelihood in Males and Females:
    – Autosomal dominant traits do not show a predilection for either gender; both males and females have an equal chance of inheriting the trait if one of their parents is affected.
  4. 25% Risk for Offspring of Affected Individuals:
    – Each child of an affected individual has a 50% chance of inheriting the mutated gene (since there are two copies of the gene, one from each parent), and therefore a 50% chance of inheriting the trait.
    – There is a 50% chance of the offspring inheriting the normal gene, in which case they would not express the trait.
    – In cases of male-to-male transmission, each son of an affected father has a 50% chance of inheriting the dominant trait.

An example of an autosomal dominant disorder is Huntington’s disease. If a person with Huntington’s disease (an autosomal dominant disorder) has children, each child has a 50% chance of inheriting the disease, regardless of their gender. If a father is affected, his sons have a 50% chance of inheriting the disorder as well.

In summary, characteristics of Autosomal Dominant inheritance:
1) Vertical pattern in pedigree with multiple generations affected.
2) Heterozygotes for the mutant allele show an abnormal phenotype.
3) Males=female equally affected.
4) Only one parent must be affected for an offspring to be at risk for developing the phenotype
5) When an affected person mates with an unaffected one, each offspring has 50% chance of inheriting the affected phenotype.
6) There may be incomplete penetrance, variable expressivity.

How well did you know this?
1
Not at all
2
3
4
5
Perfectly
9
Q

A non-consanguineous family with a rare genetic disease has been identified. The pedigree is shown below.

What is the most likely mode of inheritance?

X-linked
Autosomal dominant.
Mitochondrial.
Autosomal recessive.
Polygenic.

A

The correct answer is autosomal recessive.

Based on the above pedigree chart, the mode of inheritance for this condition is most likely an autosomal recessive inheritance for the following reason:

Autosomal recessive inheritance requires affected individuals to have parents who are BOTH carriers (as in the first generation seen on this pedigree). Because of this reason, this type of inheritance often results in the trait, skipping generations (but don’t necessarily have to). In pedigrees, if two parents are carriers, there is a 25% chance with each pregnancy that the child will be affected, a 50% chance the child will be a carrier, and a 25% chance the child will have two normal alleles.

Autosomal dominant inheritance involves a single mutant allele on an autosome (non-sex chromosome) that can cause a trait or disorder. In this mode, only one copy of the mutated gene (from either parent) is sufficient for the individual to exhibit the trait. So if this was autosomal dominant, then the female in the second generation would have been affected.

Key characteristics of autosomal dominant include:

Vertical Pattern: The trait typically appears in EVERY generation.
Equal Gender Distribution: Both males and females are equally likely to inherit and transmit the gene.
50% Inheritance Risk: Each child of an affected parent has a 50% chance of inheriting the trait.
Variability in Expression: Severity and symptoms can vary among individuals, even within the same family.
Mitochondrial is incorrect as this is inherited through the mitochondrial DNA, which is passed from mother to ALL her children, but only daughters pass it to their offspring. which is not what we see here in this pedigree (where male to male transmission is present).

X-linked is incorrect as there cannot be male to male transmission. In X-linked inheritance, fathers do not pass their X chromosome to their sons, as they pass only their Y chromosome to male offspring. (Refer to a video on the core concepts of X-linked inheritance)

Polygenic inheritance also seems incorrect as this involves multiple genes contributing to a trait. The pedigree in polygenic inheritance does not typically show a clear pattern like a single-gene disorder and is often influenced by environmental factors.

How well did you know this?
1
Not at all
2
3
4
5
Perfectly
10
Q

A 16-year-old boy (indicated by the arrow in the pedigree below) has been diagnosed with myotonic dystrophy. The diagnosis is confirmed by DNA testing. His mother’s cousin has myotonic dystrophy, but the other surviving relatives have no history suggestive of a myopathy.

What is the most likely explanation for this pedigree?

Incomplete penetrance.
Non-paternity.
Imprinting.
Consanguinity.
Mitochondrial inheritance

A

The correct answer is incomplete penetrance

The concept of incomplete penetrance can be explained in the context of the pedigree described.

Incomplete penetrance refers to a situation where not all individuals who carry a disease-causing genetic mutation exhibit the disease traits or symptoms.

In the given pedigree, although myotonic dystrophy is present in the family, not all members who are likely to carry the genetic mutation (based on their relation to the affected individuals) show symptoms of the disease (for example, the first two generations were asymptomatic, ie: had no phenotypic features of myotonic dystrophy).

This indicates incomplete penetrance, where the genetic predisposition does not always result in the phenotypic manifestation of the disease. This can be influenced by various factors, including other genetic, environmental, or lifestyle factors.

How well did you know this?
1
Not at all
2
3
4
5
Perfectly
11
Q

In a study of polymorphisms in the gene encoding the β2-adrenergic receptor, 20% of people were heterozygous for a polymorphism at codon 16 and 22% were heterozygous for a polymorphism at codon 27. 18% of the population were heterozygous at both loci.

Which one of the following statements is the best explanation for this observation?

Intragenic cross-over between the two codons
Variable triplet repeat expansion between the two codons.
Co-inheritance of the two polymorphisms providing a selective advantage.
Linkage disequilibrium between the two polymorphisms
Low frequency of recombination between the two polymorphisms

A

The correct answer is Linkage disequilibrium between the two polymorphisms

The best explanation for the observation that 20% of people are heterozygous for a polymorphism at codon 16, 22% are heterozygous for a polymorphism at codon 27, and 18% are heterozygous at both loci is linkage disequilibrium between the two polymorphisms.

Linkage disequilibrium (LD) refers to the non-random association of alleles at two or more loci. It is not necessarily due to physical proximity of the genes, but more often due to a low rate of recombination between them. When two polymorphisms are in linkage disequilibrium, it means that the presence of a particular allele at one locus is correlated with the presence of a specific allele at the other locus more often than would be expected by chance.

In the given scenario, the high percentage of individuals heterozygous at both loci suggests that these two polymorphisms are being inherited together more frequently than would be expected if they were assorting independently. This co-occurrence is indicative of linkage disequilibrium.

Variable triplet repeat expansion between the two codons would more likely result in variations in protein length or function, rather than the observed heterozygosity at specific codons.

Low frequency of recombination between the two polymorphisms could lead to linkage disequilibrium, but it is not a direct explanation of the observed heterozygosity pattern. It’s more of a mechanism that contributes to linkage disequilibrium.

Co-inheritance of the two polymorphisms providing a selective advantage could be a possibility, but there’s no direct evidence from the given data that suggests selective advantage is the reason for the observed pattern.

Intragenic cross-over between the two codons would more likely disrupt the correlation between the loci, leading to a lower percentage of individuals heterozygous at both loci, not higher.

Therefore, linkage disequilibrium is the most likely explanation for the observed pattern of heterozygosity.

How well did you know this?
1
Not at all
2
3
4
5
Perfectly
12
Q

A number of members of a family are affected with a rare syndrome of external ophthalmoplegia, Parkinsonism, and early menopause. DNA studies identified multiple deletions of various sizes in mitochondrial DNA in the affected people. The pedigree is shown below.

What is the most likely mode of inheritance of this syndrome?

Autosomal recessive without imprinting
Autosomal dominant without imprinting
Autosomal dominant with paternal imprinting
Autosomal dominant with maternal imprinting
Mitochondrial with incomplete penetrance.

A

The correct answer is Autosomal dominant without imprinting.

Based on the above pedigree, the correct answer is autosomal dominant without imprinting due to several reasons:

  1. Presence in multiple generations: Autosomal dominant conditions typically manifest in multiple successive generations (three generations as per above).
  2. Both males and females are affected: Autosomal inheritance implies that both males and females are equally likely to be affected, which seems to be the case in the described family.
  3. No evidence of imprinting: Genetic imprinting is a process in genetics where genes are expressed in a parent-of-origin specific manner. It involves epigenetic changes, particularly DNA methylation and histone modification, which do not alter the DNA sequence but affect gene activity. Imprinting leads to the silencing of a specific allele of a gene based on whether it is inherited from the mother or the father. This results in monoallelic expression, where only one allele (either maternal or paternal) is active, while the other is imprinted or silenced. There is no such evidence of this on this pedigree.

Therefore, given that there is no suggestion of imprinting on either side (maternal or paternal imprinting), the above pedigree supports the choice of autosomal dominant inheritance without imprinting.

How well did you know this?
1
Not at all
2
3
4
5
Perfectly
13
Q

X-linked dominant inheritance is distinguished by:

affected males having affected daughters and healthy sons
healthy females having affected sons and healthy daughters.
females often less variable but more severely affected than males
affected females having affected daughters and healthy sons.
males often being more variably and mildly affected than females.

A

The correct answer is affected males having affected daughters and healthy sons.

X-linked dominant inheritance is distinguished by affected males having affected daughters and healthy sons. In X-linked dominant inheritance, males have only one X chromosome. An affected male will pass his affected X chromosome to all of his daughters, making them affected. However, he will pass his Y chromosome to his sons, who will be healthy with regard to this condition.

In X-linked dominant inheritance, affected females (heterozygous) have a 50% chance of passing the affected allele to both sons and daughters.

The option of affected females having affected daughters and healthy sons is partially correct but not completely representative of X-linked dominant inheritance. Affected females have a 50% chance of passing the affected allele to both sons and daughters, so not all daughters will be affected, and not all sons will be healthy.

Males often being more variably and mildly affected than females is typically not true for X-linked dominant conditions. Males with an X-linked dominant condition often exhibit the condition more severely than females, as they have only one X chromosome and no backup copy to mitigate the effects.

Females often less variable but more severely affected than males is incorrect. Females, having two X chromosomes, are often more variably and mildly affected due to X-inactivation, where one of the X chromosomes in each cell is randomly inactivated. This can lead to a milder phenotype in females compared to males, who have only one X chromosome.

Therefore, the statement that best distinguishes X-linked dominant inheritance is affected males having affected daughters and healthy sons.

NOTES:

Genes located on the X chromosome are called X-linked genes. There are very few genes located on the Y chromosome.

Women is XX, Men is XY
Woman may be X-linked dominant (affected) or X-linked recessive (women carrier, not affected).
Males will usually be affected as they have no back-up working copy (males have only 1 X chromosome).
No male to male transmission
In X-linked recessive:

When the mother is a carrier of an X-linked recessive faulty gene, there is 1 in 2 (50%) chance that a son will be affected by the condition and a 1 in 2 chance that a daughter will be a carrier like the mother.
When the father is affected by a condition due to an X-linked recessive faulty gene, none of his sons will be affected but all of his daughters will be carriers of the X-linked recessive faulty gene, although they will generally be unaffected by the condition.
In X-linked dominant:

When the mother is affected by X-linked Dominant, there is 1 in 2 (50%) chance, that BOTH her sons and daughters will be affected by the condition and 1 in 2 (50%) chance that BOTH her sons and daughters will be NOT be affected by the condition.
When the father affected by X-linked Dominant, NONE of his sons will be affected but ALL his daughters will be affected.
Example of X-linked dominant inheritance is Rett Syndrome.
Remember these rules:

X-linked Dominant = Affected daughters from affected fathers.

X-linked Recessive = Affected sons from affected mothers.

How well did you know this?
1
Not at all
2
3
4
5
Perfectly
14
Q

What is the most likely inheritance pattern in this family?

Dominant inheritance with maternal imprinting

Dominant inheritance with paternal imprinting.

Dominant inheritance with incomplete penetrance

Dominant inheritance with anticipation.

Dominant inheritance with variable expressivity

A

The correct answer is dominant inheritance with maternal imprinting.

In the above diagram, notice that none of the children of a carrier mother is affected.

Secondly, there is clearly a male to male transmission, indicating an autosomal dominant inheritance. But notice that when a female is affected, none of the children are affected indicating the presence of a maternally imprinted gene.

Dominant inheritance with maternal imprinting refers to a genetic scenario where a gene is inherited in a dominant manner, but its expression is influenced by the parent of origin. In this case, the gene inherited from the mother is imprinted, which means it is silenced or its expression is significantly reduced. This imprinting can lead to different phenotypes depending on whether the gene is inherited from the mother or the father.

In clinical practice, this type of inheritance is seen in certain genetic disorders, where the presentation of the disease or the severity of symptoms can vary depending on whether the mutation is inherited from the mother or the father.

STUDY TIP!!

Maternal imprinting- Think of mother’s copies being switched off and therefore NO Maternal transmission.

Paternal imprinting- Think of father’s copies being switched off and therefore NO Paternal transmission.

How well did you know this?
1
Not at all
2
3
4
5
Perfectly
15
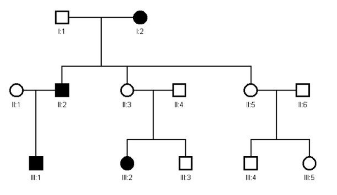
Q

The normal phenotype of individual II:3 in the family below is best explained by:

X-linked recessive inheritance
multigenic inheritance
non-paternity
maternal imprinting.
non-penetrance

A

The correct answer is non-penetrance

In the above diagram, the mother (I:2) is affected, and yet her daughter (II:3) is not. But despite II:3 not being affected, her daughter in (III:2) is affected.

So the normal phenotype of individual II:3 in the family below is best explained by the genetic concept known as non-penetrance.

Non-penetrance occurs when an individual carries a gene for a trait or condition but does not express it. In a genetic context, a person might inherit a dominant allele but not exhibit the trait due to the allele’s non-penetrance. This could explain why individual II:3 is phenotypically normal despite potentially carrying a gene for a particular condition.

How well did you know this?
1
Not at all
2
3
4
5
Perfectly
16
Q

A couple seeks your advice regarding the recurrence risk of the NARP (neuropathy, ataxia, retinitis pigmentosa) syndrome, a disorder with mitochondrial inheritance. They are first cousins and have a family history of the condition.

What is the impact of their consanguinity on the risk of having an affected child?

(A) - Approximately 10% reduction in risk.

(B) - Approximately 25% increase in risk.

(C) - The alteration in risk can only be determined by a detailed examination of the pedigree.

(D) - Approximately 10% increase in risk.

(E) - No alteration to risk.

A

The correct answer is no alteration to risk.

Clue: Read the question again. They are not asking about likelihood of inheritance to the child but rather the “impact of consanguinity” for this given condition.

So the key aspect of this question lies in understanding the inheritance pattern of NARP (Neuropathy, Ataxia, and Retinitis Pigmentosa) syndrome, which is a disorder that follows mitochondrial inheritance.

Mitochondrial inheritance, or matrilineal inheritance, involves the transmission of genes in mitochondrial DNA (mtDNA), unlike the typical autosomal or sex-linked inheritance involving nuclear DNA.

Importantly, in mitochondrial inheritance, the mitochondria, and hence the mtDNA, are typically inherited exclusively from the mother. A child inherits the great majority of their mitochondria from their mother through the egg. The sperm contributes very few mitochondria to the baby.

Therefore, a change (mutation) in one of the mitochondrial genes that makes it faulty, can therefore be passed by the mother to a child in her egg cells.

Given this, consanguinity, or the genetic relationship between the couple due to being first cousins, does not alter the risk of transmitting mitochondrial disorders like NARP. This is because the inheritance of the disorder depends solely on the mitochondrial DNA passed down by the mother, irrespective of the father’s mtDNA. Therefore, whether the couple are related (consanguineous) or not has no impact on the transmission of the disease.

Other core features of mitochondrial inheritance:

affected mothers pass on the mutation to ALL children
males cannot pass on the disorder
variable expressivity is common
there is a high mutation rate in mitochondrial DNA
affected children may have variable mutant load to their mother.

17
Q

In which one of the following genetic disorders does the DNA mutation display the most homogeneity?

Adult polycystic kidney disease
Huntington’s disease
Duchenne muscular dystrophy
Cystic fibrosis.
β thalassaemia

A

The correct answer is Huntington’s disease

The question revolves around the concept of genetic homogeneity vs. heterogeneity in various genetic disorders. Genetic homogeneity implies that a disorder is caused predominantly by the same mutation or a limited set of mutations in a particular gene, whereas genetic heterogeneity indicates that a variety of different mutations can cause the disorder.

Let’s review each of the listed disorders:

  1. Adult Polycystic Kidney Disease (APKD) is caused by mutations in the PKD1 or PKD2 genes, with a considerable number of different mutations documented.
  2. Duchenne Muscular Dystrophy is caused by mutations in the dystrophin gene, characterized by a wide variety of mutations including deletions, duplications, and point mutations.
  3. Cystic Fibrosis is primarily caused by mutations in the CFTR gene. Over 2000 different mutations have been identified in this gene, contributing to a high degree of heterogeneity.
  4. β Thalassemia is caused by mutations in the HBB gene that codes for the beta chain of hemoglobin. There are many different mutations leading to β-thalassemia, making it a genetically heterogeneous disease.
  5. Huntington’s Disease is caused by an expansion of the CAG triplet repeat in the HTT gene. The key aspect of Huntington’s disease is the remarkable homogeneity of the mutation; nearly all cases are due to this specific repeat expansion.

So among these, Huntington’s disease displays the most genetic homogeneity. The majority of Huntington’s disease cases are caused by the same type of mutation (CAG repeat expansion) in the same gene (HTT). This contrasts with the other disorders listed, which are known for their genetic heterogeneity with a wide array of different mutations causing the disease.

18
Q

The mutation in the haemochromatosis (HFE) gene is present in approximately 10% of the Caucasian population. The diagram below shows that three men in a family have been diagnosed with haemochromatosis.

What is the risk that the woman (indicated by the arrow in the pedigree below) has inherited the genetic predisposition to develop this disorder?

10%.
50%.
5%.
<1%.
25%.

A

The correct answer is 5%.

STEP:
1) Draw the family tree

2) Determine mode of inheritance. Hemochromatosis is Autosomal Recessive with population carrier state of 1/10.

3) Determine risk of being affected. In other words, there is 1/10 chance that the mother is a carrier and a 1/2 chance of both parents giving the abnormal genes to the woman at risk. Therefore the answer is 1/10 x 1/2 = 1/20 (5%).

19
Q

A teenager is evaluated because of delayed motor milestones. On examination he has muscle weakness with calf hypertrophy. He has a markedly elevated creatine kinase level of 15,400 I/U [<240 I/U].

A diagnosis of Duchenne muscular dystrophy (DMD) is suspected and blood is taken for dystrophin gene testing

Which of the following is most likely to be found on testing of the dystrophin gene?

Deletion of several exons.
Deletion of one base pair causing a frameshift.
Duplication of several exons.
Missense mutation
Splice-site mutation

A

The correct answer is Deletion of several exons.

In the case described, the patient is showing classic signs and symptoms of Duchenne Muscular Dystrophy (DMD), such as delayed motor milestones, muscle weakness, calf hypertrophy, and a markedly elevated creatine kinase level. DMD is a genetic disorder caused by mutations in the dystrophin gene, which is one of the largest genes in the human genome.

Among the options given, deletion of several exons is the most common mutation found in patients with DMD. Approximately 60-65% of DMD cases are due to deletions of one or more exons, which disrupt the reading frame of the dystrophin gene.

The types of mutations typically associated with DMD include:

  1. Splice-site mutation affects the splicing of the dystrophin mRNA, but is less commonly associated with DMD.
  2. Missense mutation is a single nucleotide change that results in a different amino acid, but these are not commonly seen in DMD.
  3. Duplication of several exons can occur in the dystrophin gene and is responsible for some cases of DMD.
  4. Deletion of one base pair causing a frameshift can occur in the dystrophin gene, but they are not the most common mutation type in DMD.

Given these options, the most likely finding in the dystrophin gene testing for a patient with a clinical presentation highly suggestive of DMD would be “Deletion of several exons.” This type of mutation leads to the absence or severe reduction of dystrophin protein, which is characteristic of DMD.

20
Q

Which of the following type of mutation results in a single amino acid change in the gene product?

Missense mutation
Truncating mutation
Frame shift mutation
Silent mutation
Nonsense mutation

A

Correct
The correct answer is Missense mutation.

The type of mutation that results in a single amino acid change in the gene product is a Missense mutation.

A Missense Mutation occurs when a change in a single nucleotide results in the substitution of one amino acid for another in the protein. This can affect the protein’s function, depending on where the substitution occurs and how different the substituted amino acid is from the original.

Frame Shift Mutation occurs when nucleotides are added or deleted from the DNA sequence, and the number added or deleted is not a multiple of three. This shifts the “reading frame” of the genetic code, leading to a completely different translation from the original, and usually results in a nonfunctional protein.

Silent Mutation is a type of mutation that occurs when a nucleotide change does not result in a change in the amino acid sequence of the protein. It’s called “silent” because it has no effect on the protein’s function.

Nonsense Mutation is a mutation that changes a codon that codes for an amino acid into a stop codon, leading to the premature termination of the protein. This usually results in a truncated, nonfunctional protein.

Truncating Mutation is similar to a nonsense mutation, a truncating mutation leads to the premature termination of the protein, resulting in a shorter, usually nonfunctional, protein.