If given 3 points, what information do you need to find to determine the type of triangle? What does this information tell you?
1) The length of each side
2) The slope of each side
If all 3 sides have the same side lengths and slope the triangle is an equilateral
If 2 sides have the same side lengths and slope the triangle is an isosceles
If all sides has different side lengths and slopes the triangle is a scalene
Midpoint
The point that divides a line segment into 2 equal segments

Median
The line segment joining a vertex of a triangle to the midpoint of the opposite side.

How do you find the equation of a median?
Step 1) Find the midpoint
Step 2) Find the slope of the median
Step 3) Pick point A or midpoint
Step 4) y= mx+b

What is Altitude?
A line sement drawn for a vertex perpendicular to the opposite side

How do you determine the equation of an altitude?
Step 1) Find the slope of BC
Step 2) Turn it into the Negative Reciprocal (slope of AH)
Step 3) Use the remaining point and slope and sub them into y= mx+b

What is the equation for Pythagorean Theorem?
a2+b2=c2
*A AND B ARE THE LENGTH OF THE LEGS AND C IS THE LENGTH OF THE HYPOTENEUSE*

What is the equation for the area of a circle?
a= ¶r2
What is the Perpendicuar Bisector of a Side?
A line segment that passes through the midpoint at 90º

How do you find the equation of a perpendicular bisector of a side?
Step 1) Find the slope of BC
Step 2) Negative Reciprocal= Slope of right bisector
Step 3) Find the midpoint of BC
Step 4) y=mx+b

What is the equation for the Distance to the Origin From Any Point?

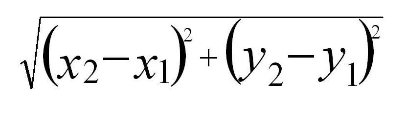
What is the equation for the Distance Between Any 2 Points?

What is the equation for the Equation of a Circle, Centre (0,0) and Radius r?
x2+ y2=r2
What is the equation of the Midpoint of a Line Segment With Endpoints?

When given a point, how do you determine if it is inside, outside or on the circle?
Substitute the point into the equation and solve
1) If both sides of the equation are equal, the point is on the circle
2) If the left side of the equation is smaller it is inside the circle
3) If the left side is larger it is outside the circle
How do you classify a shape when given coordinates?
Find the slope and/ or length of each side
If given the equation x2+y2=169 answer the following:
a) The coodinates of the centre
b) The length of the radius
c) The x-intercept(s)
d) The coordinates of a point on the circle, but not on the x or y axis
a) (0,0)
b) Square Root of 169= 13
*SQUARE ROOT THE NUMBER AFTER THE EQUAL SIGN*
c) (13,0) (-13,0)
*TAKE THE NUMBER FROM B AND PUT A 0 AFTER IT, DO THE SAME FOR THE NEXT POINT BUT MAKE IT NEGATIVE*
d) (12,5)
*GUESS AND CHECK, SUB POINTS INTO THE EQUATION AND CHECK*