formula circumfrence of a circle
C = 2πr
what is the 30-60-90 triangle and what are the proportions of its sides?
hypotenuse = 2(short leg)
long leg = root3(short leg)
it is what happens if you take half an equalateral triangle.

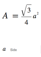
How do you calculate the area of an equalateral triangle?

What are the lengths (proportions) of the sides of a right isosceles triangle?

A) What is a paralleogram?
B) What are the 4 propeties of parallelograms?
C)What is special about them?
A) a parallelogram is a quadrilateral with two pairs of parallel sides
B)
C) If ANY are true ALL are true, if ANY are false ALL none are true
What are 3 properties of inscribed angles

What is the volume of a cube?

What is the total surface area of a cube?

How do you find an arc length?
What is the formual for the sum of the interior angles of a polygon?
What is the formula for each interior angle of a polygon?
What is the sum of the exterior angles?
What is the formula for each exterior angle
Where n = number of sides

What is the formula for the circumference of a circle?

If we know the length of two sides of a triangle (P and Q) then the length of the third unknown side (R) must be…?
P = known Q= known R = unknown
P-Q< R< P+Q
the unknown side must be larger than the difference of the kown sides, but smaller than their sum
How do you find the volume of a rectangular solid?
V = h*w*d
Volume = height x width x depth
How do you find the area of a triangle?

Is approximately equal to?

22
7
What is a trapezoid? what are its sides called?
A quadralateral that has exactly 1 pair of parallel sides
parallel sides = bases
non-parallel sides = legs
What are the 4 pythagorean triplets that are common on the exam? What should be noted about them?
Each of the sides can be multipled by a constant to produce a new set e.g. 3, 4, 5 could be multiplied by 2 to give 6, 8, and 10

Wha is the formula for the surface area of a cylinder?

What is a 5 sided regular polygon called? What is a 6 sided regular polygon called?
5 sided - pentagon
6 sided hexagon
(sorry Katie - this super basic but I mess them up for some reason)
What is the forumla for the area of a circle?

What is the formula for the volume of a cylinder?
area of the base x height

How do you find the area of a trapezoid?
Area = base x height
where the base is the average of the lengths of the two parrallel sides (bases)

How do you find the space diagonal of a rectangular solid?
diagonal2 = width2 x length2 x height 2
