Quadrilateral:
A polygon with four sides.
Parallelogram:
A quadrilateral with two pairs of parallel sides.
Rectangle:
A quadrilateral with four right angles.
Square:
A quadrilateral with four right angles and four congruent sides.
Rhombus:
A quadrilateral with four congruent sides.
Trapezoid:
A quadrilateral with at least one pair of parallel sides.
Circle
A set of all points that are equidistance from some other point (which is the circle’s center).
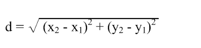
The Distance Formula

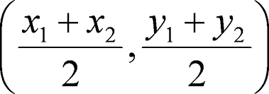
The Midpoint Formula

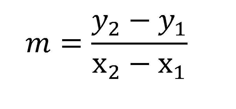
The Slope Formula

Rigid Motion
A transformation that preserves Size and Shape.
The 3 Rigid Motions
Translation, Rotation, Reflection
Dilation
A transformation that proportionaly increases or decreases the size of a geometric shape.