Glucides Flashcards

(48 cards)

1
Q

Quelle est la différence entre un ose et un oside ?

A

Un ose est un sucre simple
Un oside est un sucre complexe (composé de plusieurs sucres)

How well did you know this?
1
Not at all
2
3
4
5
Perfectly
2
Q

Quelle est la différence entre un holoside et un hétéroside ?

A

Un holoside est un sucre complexe formé d’oses, tandis qu’un hétéroside est composé à la fois de sucres complexes et de composés non glucidiques

How well did you know this?
1
Not at all
2
3
4
5
Perfectly
3
Q

Quand peut-on appeler un sucre un oligoside ? Quand est ce qu’il devient un polyoside ?

A

Oligoside < 20 oses
Polyoside > 20 oses

How well did you know this?
1
Not at all
2
3
4
5
Perfectly
4
Q

Combien de carbones possèdent les oses les plus simples ?

A

3

ex : glycéraldéhyde

How well did you know this?
1
Not at all
2
3
4
5
Perfectly
5
Q

Quel est l’ose le plus simple de la famille des aldoses ?

A

Le glycéraldéhyde

How well did you know this?
1
Not at all
2
3
4
5
Perfectly
6
Q

Quel est l’ose le plus simple de la famille des cétoses ?

A

Le dihydroxyacétone

How well did you know this?
1
Not at all
2
3
4
5
Perfectly
7
Q

Qu’est ce qui détermine la famille d’un sucre ? (aldose ou cétose)

A

La position de sa fonction carbonyle (C=O). Chez les aldoses il est sur le premier carbone, chez les cétoses sur le deuxième.

How well did you know this?
1
Not at all
2
3
4
5
Perfectly
8
Q

Qu’est ce qu’une fonction carbonyle ?

A

C = O

How well did you know this?
1
Not at all
2
3
4
5
Perfectly
9
Q

En plus du carbone, les oses ont des fonctions :

A

Alcool

How well did you know this?
1
Not at all
2
3
4
5
Perfectly
10
Q

Les trioses, tetroses, pentoses et hexoses font référence :

A

Au nombre de carbones que contient la molécule

How well did you know this?
1
Not at all
2
3
4
5
Perfectly
11
Q

De quelle famille sont :
Ribose, Fructose, Galactose, Ribulose, Glucose

A

Aldoses : glucose, galactose, ribose
Cétoses : ribulose, fructose

How well did you know this?
1
Not at all
2
3
4
5
Perfectly
12
Q

Comment identifier un carbone asymétrique ?

A

Il est lié à 4 molécules différentes l’une de l’autre

How well did you know this?
1
Not at all
2
3
4
5
Perfectly
13
Q

A quoi correspond un C* ?

A

A un carbone asymétrique

How well did you know this?
1
Not at all
2
3
4
5
Perfectly
14
Q

Quel est le rapport entre le nombre de C* et le nombre de stéréoisomères ?

A

Si le nombre de C* est n, le nombre de stéréoisomères est 2n

How well did you know this?
1
Not at all
2
3
4
5
Perfectly
15
Q

Le pouvoir rotatoire d’un glucide est lié à :

A

Son carbone asymétrique

How well did you know this?
1
Not at all
2
3
4
5
Perfectly
16
Q

Quelles sont les deux orientations possibles d’un glucide ?

A

Dextrogyre ou lévogyre

How well did you know this?
1
Not at all
2
3
4
5
Perfectly
17
Q

Retrouve t-on les oses de série D ou de série L dans l’organisme ?

A

Série D/Dextrogyres

How well did you know this?
1
Not at all
2
3
4
5
Perfectly
18
Q

Qu’appelle t-on des énantiomères ?

A

Deux molécules d’orientation différente (L et D) n’étant pas superposables

How well did you know this?
1
Not at all
2
3
4
5
Perfectly
19
Q

Par quel carbone est déterminé l’isomérie d’une molécule ?

A

Par le carbone asymétrique le plus éloigné de la fonction carbonyle

How well did you know this?
1
Not at all
2
3
4
5
Perfectly
20
Q

Qu’est ce qu’un stéréoisomère ?

A

Différentes conformations des C* d’une molécule

21
Q

Qu’est ce qu’un isomère ?

A

Des molécules ayant une formule chimique brute identique mais une formule développée différente

(ex : le glucose est un isomère du galactose)

22
Q

Qu’est ce que les épimères ?

A

Ce sont des sucres différant dans la configuration d’un seul des C*

23
Q

Quelle famille de sucres a une fonction réductrice ?

A

La famille des aldoses

24
Q

En solution, les oses existent sous forme :

25
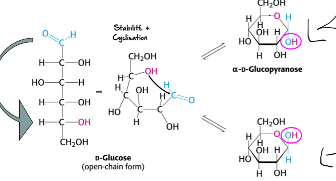
Pourquoi est ce que les oses passent en forme cyclique dans une solution ?
Car cela les rend plus stables
26
Sous forme cyclique, les hexo-aldoses sont des (?) et les hexo-cétoses des (?)
Aldoses -> pyranoses Cétoses -> furanoses | Les pyranoses sont les + stables
27
Comment appelle t-on un sucre cyclique à 6 atomes ?
Un pyranose
28
Comment appelle t-on un sucre cyclique à 5 atomes ?
Furanoses
29
Que se passe t-il lors de la perméthylation d'un glucide ?
Tous les groupements OH libres sont méthylés
30
Les oses simples peuvent être modifiés par : | (2 réponses)
Une oxydation (acide gluconique) -> fonction amine Une phosphorylation
31
Une liaison (?) relie 2 oses
Osidique
32
Une liaison de 2 oses forme un :
disaccharide
33
Comment s'appelle la liaison C-O-C ?
Liaison acétal/éther oxyde
34
Dans un disaccharide, combien de carbones asymétriques sont impliqués ?
Un seul
35
Qu'est ce qui détermine le caractère alpha ou beta d'un glucide ?
La position du C* | le OH quoi
36
Comment faire pour écrire les molécules impliquées dans un disaccharide ? (ou +)
Première molécule : (A/B) D-(Glucide+furanose/pyranose) + SYL Dernière molécule : (A/B) D-(Glucide+furanose/pyranose) + OSIDE
37
De quoi est composé le saccharose ?
De glucose et de fructose
38
Il existe deux types d'hydrolyse :
Enzymatique (glucosidase, fructosidase...) Chimique (milieu acide)
39
De quoi est composé le lactose ?
De galactose et de glucose
40
Quel réactif est impliqué dans une réduction ?
La liqueur de Fehling
41
Comment déterminer si un disaccharide est réducteur ?
Il le sera si 1) il comporte un aldose 2) son carbone anomérique est libre
42
De quoi est composé le maltose ?
2x glucose
43
# Pouvoir sucrant Quel est le sucre de référence ?
Le saccharose
44
Donner des polyholosides connus :
1. L'amidon (mélange d'amylose et d'amylopectine) 2. Glycogène (polymères de glycoses)
45
Quelle est la différence entre l'amylose et l'amylopectine ?
L'amylose est un polymère *linéaire* de résidus de glucose L'amylopectine est un polymère *ramifié* de résidus de glucose
46
Qu'appelle t-on un résidu ?
C'est un sucre attaché à un autre sucre/molécule
47
Quelle est la particularité du cellulose ?
C'est un homopolymère de glucose (300 à 15,000 résidus). Il est lié par des liaisons B1 -> 4. Cette liaison ne peut être hydrolysée que par la **cellulase** | cf SpéVégétale
48
Citer un hétéroside vu en cours
L'acide hyaluronique