Graphs Flashcards

(5 cards)

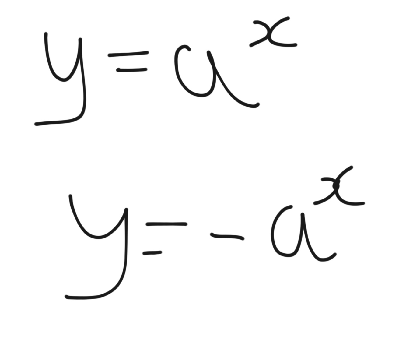
1
Q

What is it called + equation ?

A

Exponential graph ( equation can be a minus if the gradient is negative )

How well did you know this?
1
Not at all
2
3
4
5
Perfectly
2
Q

What is it called + equation ?

A

Reciprocal graph ( equation can be a minus if the gradient is negative )

How well did you know this?
1
Not at all
2
3
4
5
Perfectly
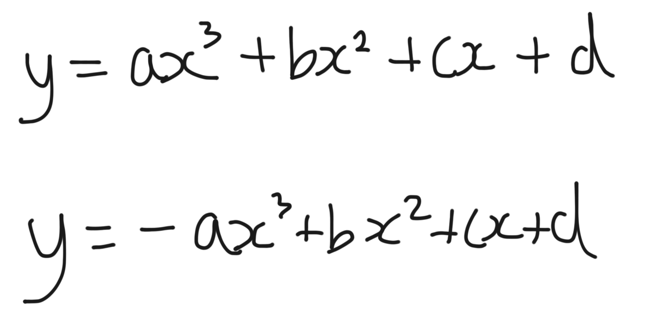
3
Q

What is it called + equation ?

A

Cubic graph ( equation can be a minus if the gradient is negative )

How well did you know this?
1
Not at all
2
3
4
5
Perfectly
4
Q

What is it called + equation ?

A

Linear graph ( equation can be a minus if the gradient is negative )

How well did you know this?
1
Not at all
2
3
4
5
Perfectly
5
Q

What is it called + equation ?

A

Quadratic graph ( equation can be a minus if the gradient is negative )

How well did you know this?
1
Not at all
2
3
4
5
Perfectly