wat is i
de imaginaire eenheid i is een vierkantswortel uit -1
dus i² = -1
wat is een complex getal + benoem de delen +symbool van de verzameling van de complexe getallen
dat is een getal van de vorm z = a + bi (a,b ∈ ℝ)
+ a = het reële deel
b = het imaginaire deel
+ ℂ
wat als b of a = 0?
als b = 0 dan wordt het complex getal een reël getal
als a = 0 en b ≠ 0 dan wordt het complex getal zuiver imaginair genoemd
als a en b = 0 dan is wordt het complex getal = 0
wat zijn complex toegevoegde getallen + notatie + ander woord
dat zijn getallen die hetzelfde reële deel maar tegengestelde imaginaire delen hebben
+ z met een lijn erboven
+ de conjugeerde van een complex getal
geef i1 tot en met i4
i1 = i
i² = -1
i³ = -i
i4 = 1
wat is een vierkantswortel van een complex getal
a + bi
dat is elk complex getal x + yi waarvan het kwadraad gelijk is aan a + bi
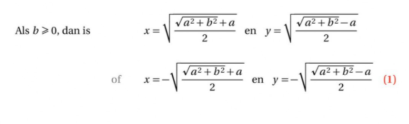
formule vierkantswortel van een complex getal als
b ≥ 0

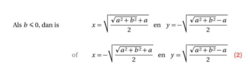
formule vierkantswortel van een complex getal als
b ≤ 0
