Hälsoekonomi Flashcards

(26 cards)

1
Q

Health

A

Health
WHO (World Health Organization) definition of Health: ”Health is a
state of complete physical, mental and social well-being and not merely
the absence of disease or infirmity.”

How well did you know this?
1
Not at all
2
3
4
5
Perfectly
2
Q

Health economics

A

t [health economics] draws its theoretical inspiration principally from
four traditional areas of economics: finance and insurance, industrial
organization, labor, and public finance. Some of the most useful work
employs only elementary economic concepts but requires detailed
knowledge of health technology and institutions. Policy-oriented
research plays a major role and many important policy-relevant articles
are published in journals read by physicians and others with direct
involvement in health” (Fuchs, 1987)

How well did you know this?
1
Not at all
2
3
4
5
Perfectly
3
Q

What makes health care different? (Arrow, 1963)

A

Need is irregular and uncertain
Health care is by many considered to be a right

Externalities
Negative (e.g. smoking, antibiotic resistance)
Positive (e.g. vaccination against infectious diseases)

Asymmetric information
Patients often lack the necessary information
The insurer has imperfect information on health risks (adverse selection)
The insurer has imperfect information on prevention efforts (ex-ante moral
hazard)
The insurer has imperfect information on necessary treatments (ex-post
moral hazard)
Irreversibility
Health care is often subsidized and regulated by the government

How well did you know this?
1
Not at all
2
3
4
5
Perfectly
4
Q

Demand for Health Care - General

A

An individual’s demand for a good is the quantity an individual is
willing and able to buy at a given price
An individual who cannot afford a good has no demand for it, but it
does not mean there is no need (something that is necessary for the
individual)
Want is something that is desired by the individual - ”every person
has unlimited wants, but limited resources” - but a need is something
that is necessary for survival for example food.
Health care is an input in producing health.

How well did you know this?
1
Not at all
2
3
4
5
Perfectly
5
Q

Demand for healthcare

A

An individual chooses goods to maximize utility
If an individual demands good ”health”, then the individual
chooses goods that produce health as well as their using time as an
input (for example by exercising)
Demand for health care is derived from the demand for health (no
utility from visiting a doctor per se (maybe disutility) but the health
care provided results in better health affecting utility positively.
Demand analysis for health care can be used to identify factors that affect
utilization
If utilization of health care, that is the quantity of health care demanded,
is too little or too much in relation to the need, then the public policy can
affect this (for example by changing prices, rationing, and information)

How well did you know this?
1
Not at all
2
3
4
5
Perfectly
6
Q

What influences health (and demand for health care)?

A

Individual
Health status
Genetics
Education
Income

Consumption (and prevention)
Food
Alcohol and cigarettes
Sport

Health care
Supply
Access (including waiting time)

Insurance
Adverse selection
Moral hazard

Pharmaceuticals

Environmental
Physical
Economic
Cultural

How well did you know this?
1
Not at all
2
3
4
5
Perfectly
7
Q

Demand curve healthcare

A

The downward-sloping demand curve for healthcare
The demand curve illustrates the effect of changes in the price of the
good on quantity demanded ceteris paribus
Changes in factors other than the price of the good itself lead to
shifts in the demand curve
Change in income (if income increases then an outward shift in demand
if normal good)
Complements (if the price decreases of good A then demand for good B
increases) (e.g., contact lenses and a visit to an optician)
Substitutes (if the price increases of good A then demand for good B
increases) (e.g., pharmaceuticals)
Demand for health care is typically found to be inelastic with
estimates in the range of -0.1 to -0.75 (more inelastic for acute care)

How well did you know this?
1
Not at all
2
3
4
5
Perfectly
8
Q

Grossman model

A

Michael Grossman created a model where an individual demands
health for two reasons
Health is a ”consumption commodity” — health makes an individual to
feel better
Health is an ”investment commodity” — health determines the amount of
time available for work and leisure
Basic features of the model (simplified)
An individual is born with a stock of health
The stock of health depreciates overtime at an increasing rate with age
When an individual gets older, the number of illness spells and utilization
of health care increase
Investments such as health care and prevention can reduce the rate of
depreciation the demand for health care increases with an individual’s income

How well did you know this?
1
Not at all
2
3
4
5
Perfectly
9
Q

Insurance and out of pocket payment

A

Why do people demand health care insurance?
Illness and expenditures are unpredictable
Expenditures can be very high
People are risk averse

If an individual is covered by health care insurance, then she does not
pay the full price for health care out-of-pocket
Full coverage - No out-of-pocket cost (100% coinsurance rate)
Partial coverage - Out-of-pocket cost but not the full cost
Copayment as proportion - The individual pays a fixed % of the cost
out-of-pocket (γP), where (0 ≤γ ≤1) (if she pays full amount then
(γ = 1) and if she is fully covered then (γ = 0))
Deductible - The individual pays a fixed amount out-of-pocket before
coverage begins
Maximum - Insurance pays until an upper limit

How well did you know this?
1
Not at all
2
3
4
5
Perfectly
10
Q

Demand for health care and insurance with copayment

A

Individual pays a fixed % of the cost out-of-pocket (γP), where
(0 ≤γ ≤1)

How well did you know this?
1
Not at all
2
3
4
5
Perfectly
11
Q

Adverse selection

A

People are heterogeneous in terms of the risk of falling ill as well as in
terms of the cost of treatment when ill
If the insurer cannot identify the risk and the cost parameters of the
individuals, the insurer will offer a standard policy to everyone using
the expected value for the population.
The “very good” risks will not purchase the standard policy (unless
they are extremely risk-averse). Thus, if the low-risk people drop out,
then the information on which the insurer has calculated the premium will
change resulting in the premium increasing.
This process will continue until only the high-risk individuals remain insured.
As a result, many people will not have any insurance coverage.

How well did you know this?
1
Not at all
2
3
4
5
Perfectly
12
Q

Community rating

A

Community rating requires a uniform premium for all individuals
There is a ”surcharge” at a younger age and on healthier people
Extensive public health insurance does not have any problems with
adverse selection
Insurance based on community rating typically allows
Open enrollment
Compulsory insurance

How well did you know this?
1
Not at all
2
3
4
5
Perfectly
13
Q

Cream skimming

A

Incentives for the insurer to risk selection - cream skimming, that is
selection of good risks
Strategies to reduce cream skimming (insurers focus on efficiency
rather than finding good risks)
Regulation of the enrolment process (e.g., information collection)
Regulation of benefits package (e.g., discount or more extensive
coverage if exercising)
Risk adjustment and cost reimbursement

How well did you know this?
1
Not at all
2
3
4
5
Perfectly
14
Q

Moral Hazard

A

”the insurance policy might itself change incentives and therefore
the probabilities upon which the insurance company has relied”
(Arrow, 1970, p.142)

Ex-ante moral hazard
An individual change her behavior when insured such that the
probability of falling ill is changed (change in prevention and/or
”non-prevention” activities)

Ex-post moral hazard
When insured, an individual requires more expensive treatments than
otherwise and/or less concerned about the costs including finding
cheaper treatment options (e.g., generic drug versus originally
protected drug).

How well did you know this?
1
Not at all
2
3
4
5
Perfectly
15
Q

Supply of healthcare

A

Suppliers of healthcare
Physicians and nurses
Hospitals

The supply of medical services is influenced by
Laws and regulations
Economic incentives
Education and ethics

Suppliers of medical services influence
Referral to specialists
Number and type of tests
Surgery or wait
Amount, type, and brand of pharmaceuticals

How well did you know this?
1
Not at all
2
3
4
5
Perfectly
16
Q

Principal-agent problem

A

Principal - Patient
The uninformed agent

Agent - Physician
The informed agent

Problem
An agent can exploit the uninformed principal to maximize her own
utility (partially or fully a decision for someone else).

A perfect agent
An agent who acts in the interest of the principal, i.e., to maximize the
utility of the principal

17
Q

Physician’s decision

A

Physician’s utility
Choice work - leisure
Code of conduct and ethics

Payment basis
Fee-for-service model (number and kind of services provided)
Salary (a fixed amount per period)
Capitation (number of patients registered).
Factors of production employed (cost occurred)
Flat payment per treatment.
Number of treated patients

Payment procedure
Patient himself
Health (care) insurance (private and/or public)

18
Q

Supplier-induced demand

A

The demand for health care often reflects a decision by a physicians
(supplier (agent)) and not by a patient (demander (principal))

Supplier-induced demand is the gap between what the patient would
have demanded that she had the same information and knowledge as the
physician and what the physician provides or recommends

Factors facilitating supplier-induced demand
Possibility of varying the information
Riskless medical technology
Health insurance coverage

Empirical results show a positive correlation between the number of
physicians and demand for health care

19
Q

Alternative explanations of supplier-induced demand

A

Permanent excess demand
This might partly be explained by price regulation.

Decreasing indirect costs
New physicians may reduce waiting time (both on a waiting list as well
as time spent in a waiting room) and also travel time if a new location.

Improved quality of treatment
For example longer consultations.

Reversed causality
In areas with high demand for medical services (e.g. due to age
structure) may attract more physicians, i.e. a higher per capita demand
of medical services result in a higher physician density.

20
Q

Equality and need

A

Definitions of equality
Equality of use
Different individuals respond differently to the same treatment and
ignores that individuals may have preferences over health and health
care.

Equality of access
Access to health care may have an instrumental value to improve better
health and it may also be valued in its own right.

Equality of health
This is concerned with the distribution of health and ignores individual
choice and differences in preferences.

In many European countries, the objective of the healthcare system
is “equal access to treatment for equal need”

Definitions of need (Culyer and Wagstaff, 1993)
Need as initial health
Need as the capacity to benefit
Need as expenditure required to exhaust capacity to benefit

21
Q

Priority setting in Sweden

A

The Swedish health care system is defined in the Health Care Act
from 1982 and the objective is to provide “good health and care on
equal terms for the entire population”

Main principles for priority setting (see SOU, 1995)
The principle of equal value whereby an individual’s social position or
personal abilities should not matter.
The principle of need implies that resources should be allocated where
needs are greatest.
The principle of efficiency whereby resources should be allocated where
the relationship between efficiency (measured in terms of improvement
in health) and the cost is at its highest.

In practical applications, the principles are placed in the above order
according to the committee, namely, the principle of equal value, the
principle of need and lastly the principle of efficiency.

22
Q

Measurement of horizontal inequality (van Doorslaer and Masseria (2004)

A

A concentration index is similar to the Gini index (coefficient). On x-axis
are people ranked by income but on the y-axis is a health measure, for
example number of visits to a GP.

The OECD paper uses survey data from various household surveys.
Health care utilization
Measurement of visits to GP, specialists, and/or dental during a
specific period (normally during the past 12 months).

Health status
The measurement of health status is normally used as a proxy for need.
In Sweden: “How is your current health?” (Very good, good, fair, bad
or very bad).
In addition information on chronic physical or mental problems,
illnesses and disabilities are also collected.

In general, the poor (in terms of income) do not only suffer more from
health problems but also from more severe health problems.
HI = the concentration index for the need for standardized distribution of
health care utilization (see also exercise 6).

23
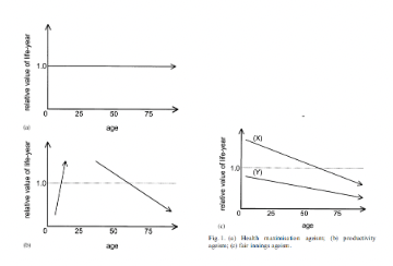
Q

Ageism (Tsuchiya et al., 2003)

A

Concepts of ageism - assigning a different relative value of a life year
Health maximization ageism (relative weight independent of age)
Productivity ageism (relative weight inverted u-shape)
Fair innings ageism (decreasing weight by age and higher weight to
people from disadvantaged backgrounds)

If positive weights, younger people are priorities over older in the project
saving remaining life.

Empirical findings are mixed, but people are broadly in favor of
giving priority to younger over older given life saving for a fixed period
of time.

24
Q

Universal coverage and equal access (Cutler, 2002)

A

When medical systems developed a century ago, they had clear equity
concerns. Before the 1950s medical care was not seen as a significant
factor that could improve health, and hence it did not have a
particularly high priority in the public sector

A major emphasis on national health insurance in the UK resulted
in the National Health Service (NHS) beginning in 1948. The other
G7 countries were soon to follow except the USA. Medical care was
seen as a right with schemes being generous both in services offered
and cost-sharing

In several countries, fee-for-service was applied to physicians
and hospitals were generously paid

25
Future challenges for the healthcare system
Demographics Aging of the population Increased number of single households Pay-as-you-go - The working generation contributes to younger and older Technological Product innovations Process innovations (produce a given good or service at a lower cost) Organizational innovations Sisyphus syndrome By prolonging human life, technological change in medicine may also increase the number of those who make more than average demands on the health care system. International competition Labour can move Investment in private health insurance and hospitals
26
Incentives and competition (Cutler, 2002)
Introducing co-payments at the patient level Introducing competition in the health insurance market Introducing incentives among providers